2025年课时作业本闯关练五年级数学上册苏教版
注:目前有些书本章节名称可能整理的还不是很完善,但都是按照顺序排列的,请同学们按照顺序仔细查找。练习册 2025年课时作业本闯关练五年级数学上册苏教版 答案主要是用来给同学们做完题方便对答案用的,请勿直接抄袭。
第46页
- 第1页
- 第2页
- 第3页
- 第4页
- 第5页
- 第6页
- 第7页
- 第8页
- 第9页
- 第10页
- 第11页
- 第12页
- 第13页
- 第14页
- 第15页
- 第16页
- 第17页
- 第18页
- 第19页
- 第20页
- 第21页
- 第22页
- 第23页
- 第24页
- 第25页
- 第26页
- 第27页
- 第28页
- 第29页
- 第30页
- 第31页
- 第32页
- 第33页
- 第34页
- 第35页
- 第36页
- 第37页
- 第38页
- 第39页
- 第40页
- 第41页
- 第42页
- 第43页
- 第44页
- 第45页
- 第46页
- 第47页
- 第48页
- 第49页
- 第50页
- 第51页
- 第52页
- 第53页
- 第54页
- 第55页
- 第56页
- 第57页
- 第58页
- 第59页
- 第60页
- 第61页
- 第62页
- 第63页
- 第64页
- 第65页
- 第66页
- 第67页
- 第68页
- 第69页
- 第70页
- 第71页
- 第72页
- 第73页
1. 用竖式计算。
(1) 得数保留一位小数。
$8÷2.7$ $7.83÷0.33$
(2) 得数保留两位小数。
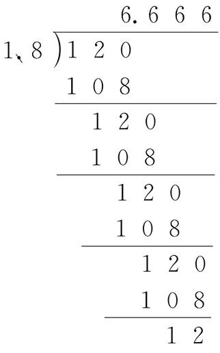
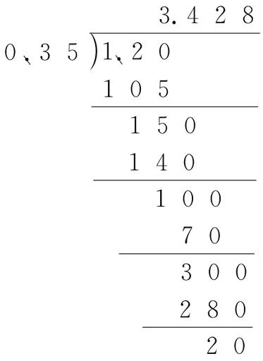
$1.2÷0.35$ $12÷1.8$
(1) 得数保留一位小数。
$8÷2.7$ $7.83÷0.33$
(2) 得数保留两位小数。
$1.2÷0.35$ $12÷1.8$
答案:
1.(1)8÷2.7≈3.0 7.83÷0.33≈23.7
(2)1.2÷0.35≈3.43 12÷1.8≈6.67
1.(1)8÷2.7≈3.0 7.83÷0.33≈23.7
(2)1.2÷0.35≈3.43 12÷1.8≈6.67
2. 用“四舍五入”法求商的近似值。
| | 保留一位小数 | 保留两位小数 | 保留三位小数 |
| $12.5÷0.6$ | | | |
| $1.5÷0.13$ | | | |
| $35.21÷8$ | | | |

| | 保留一位小数 | 保留两位小数 | 保留三位小数 |
| $12.5÷0.6$ | | | |
| $1.5÷0.13$ | | | |
| $35.21÷8$ | | | |
答案:
2. 保留一位小数 保留两位小数 保留三位小数
12.5÷0.6 20.8 20.83 20.833
1.5÷0.13 11.5 11.54 11.538
35.21÷8 4.4 4.40 4.401
12.5÷0.6 20.8 20.83 20.833
1.5÷0.13 11.5 11.54 11.538
35.21÷8 4.4 4.40 4.401
3. (传统文化)如图所示为我国传统服饰中的“盘长结”。李师傅在制作旗袍上的盘扣时,用 3.1 米长的红绳编织了 6 个大的盘长结,用 0.73 米长的红绳编织了 2 个小的盘长结。平均每个大的盘长结大约需要多少米红绳?平均每个小的盘长结大约需要多少米红绳?(得数保留一位小数)

答案:
3. 大盘长结:3.1÷6≈0.5(米)
小盘长结:0.73÷2≈0.4(米)
小盘长结:0.73÷2≈0.4(米)
4. (说理表达)计算$7.42÷38$(得数保留两位小数)时,明明说:“我除到百分位,看到余数是‘20’(如图),就知道答案是$7.42÷38≈0.20$。”你认为明明的说法合理吗?为什么?
$\begin{array}{r} 0.19 \\ 38 \enclose{longdiv}{7.42} \\ 38 \\ \hline 362 \\ 342 \\ \hline 20 \end{array} $

$\begin{array}{r} 0.19 \\ 38 \enclose{longdiv}{7.42} \\ 38 \\ \hline 362 \\ 342 \\ \hline 20 \end{array} $
答案:
4. 我认为明明的说法合理 因为余数“20”大于除数38的一半,所以接下来商的千分位上的数会等于5或大于5,再按“四舍五入”法保留两位小数,即0.20(合理即可)
5. 三门峡的黄河湿地保护区是我国候鸟基本的迁徙地、觅食地、越冬地,每年 10 月中下旬,大天鹅会飞到三门峡。若大天鹅 16 小时迁徙 747 千米,则大天鹅的平均迁徙速度大约为每小时多少千米?大天鹅平均每千米大约要迁徙多少小时?(得数保留两位小数)
答案:
5. 747÷16≈46.69(千米)
16÷747≈0.02(时)
16÷747≈0.02(时)
6. 为了响应“低碳环保,减少白色污染”的口号,乐乐家第一季度节省一次性用品开支 65.9 元。笑笑家上半年节省一次性用品开支 134 元。谁家平均每月节省的一次性用品开支更多?
答案:
6. 乐乐家:65.9÷3≈21.97(元)
笑笑家:134÷6≈22.33(元)
21.97<22.33
笑笑家平均每月节省的一次性用品开支更多
笑笑家:134÷6≈22.33(元)
21.97<22.33
笑笑家平均每月节省的一次性用品开支更多
7. (思维过程)一个数除以 0.6 的商是两位小数,保留一位小数是 2.0。这个数最大是( ),最小是( )。
答案:
7. 1.224 1.17 解析:商保留一位小数是2.0,且商是两位小数,则商最大是2.04,最小是1.95。根据“被除数=除数×商”,可以求出最大、最小的被除数。
查看更多完整答案,请扫码查看