2025年课时作业本闯关练五年级数学上册苏教版
注:目前有些书本章节名称可能整理的还不是很完善,但都是按照顺序排列的,请同学们按照顺序仔细查找。练习册 2025年课时作业本闯关练五年级数学上册苏教版 答案主要是用来给同学们做完题方便对答案用的,请勿直接抄袭。
第37页
- 第1页
- 第2页
- 第3页
- 第4页
- 第5页
- 第6页
- 第7页
- 第8页
- 第9页
- 第10页
- 第11页
- 第12页
- 第13页
- 第14页
- 第15页
- 第16页
- 第17页
- 第18页
- 第19页
- 第20页
- 第21页
- 第22页
- 第23页
- 第24页
- 第25页
- 第26页
- 第27页
- 第28页
- 第29页
- 第30页
- 第31页
- 第32页
- 第33页
- 第34页
- 第35页
- 第36页
- 第37页
- 第38页
- 第39页
- 第40页
- 第41页
- 第42页
- 第43页
- 第44页
- 第45页
- 第46页
- 第47页
- 第48页
- 第49页
- 第50页
- 第51页
- 第52页
- 第53页
- 第54页
- 第55页
- 第56页
- 第57页
- 第58页
- 第59页
- 第60页
- 第61页
- 第62页
- 第63页
- 第64页
- 第65页
- 第66页
- 第67页
- 第68页
- 第69页
- 第70页
- 第71页
- 第72页
- 第73页
1. 比一比,算一算。
$\begin{array}{|l|}\hline42 ÷ 7= \\4.2 ÷ 7= \\\hline\end{array} \\\hline \begin{array}{|l|}\hline63 ÷ 21= \\0.63 ÷ 21= \\\hline\end{array} \\\hline $
$\begin{array}{|l|}\hline20 ÷ 5= \\2 ÷ 5= \\\hline\end{array} \\\hline \begin{array}{|l|}\hline84 ÷ 4= \\0.84 ÷ 4= \\\hline\end{array} \\\hline $
$\begin{array}{|l|}\hline42 ÷ 7= \\4.2 ÷ 7= \\\hline\end{array} \\\hline \begin{array}{|l|}\hline63 ÷ 21= \\0.63 ÷ 21= \\\hline\end{array} \\\hline $
$\begin{array}{|l|}\hline20 ÷ 5= \\2 ÷ 5= \\\hline\end{array} \\\hline \begin{array}{|l|}\hline84 ÷ 4= \\0.84 ÷ 4= \\\hline\end{array} \\\hline $
答案:
1. 6 0.6 3 0.03 4 0.4 21 0.21
2. 用竖式计算。
$11.4 ÷ 6$
$0.147 ÷ 7$
$24 ÷ 25$
$19.62 ÷ 18$
$11.4 ÷ 6$
$0.147 ÷ 7$
$24 ÷ 25$
$19.62 ÷ 18$
答案:
2. 11.4÷6=1.9
0.147÷7=0.021
24÷25=0.96
19.62÷18=1.09
2. 11.4÷6=1.9
0.147÷7=0.021
24÷25=0.96
19.62÷18=1.09
3. 下面的计算对吗?对的画“√”,错的画“×”并改正。
(1)
$
\begin{array}{r}28 \\15 \enclose{longdiv}{42} \\30 \\\hline120 \\120 \\\hline0\end{array} $
( )
(2)
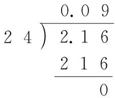
$
\begin{array}{r}0.9 \\24 \enclose{longdiv}{2.16} \\216 \\\hline0\end{array} $
( )
(1)
$
( )
(2)
$
( )
答案:
3.
(1)×
(2)×
3.
(1)×
(2)×
4.(算理理解)乐乐购买了一袋橡皮礼包,橡皮每袋4块,付了9.4元,观察竖式,下面的说法中,错误的是( )。
$\begin{array}{r}2.35 \\4 \enclose{longdiv}{9.4} \\8 \\\hline14 \\12 \\\hline20 \\20 \\\hline0\end{array} $

A.商中的“3”表示3个0.1
B.竖式中的“14”表示14个0.1
C.商中的“5”表示5角
D.箭头所指的“20”表示20个0.01
$\begin{array}{r}2.35 \\4 \enclose{longdiv}{9.4} \\8 \\\hline14 \\12 \\\hline20 \\20 \\\hline0\end{array} $
A.商中的“3”表示3个0.1
B.竖式中的“14”表示14个0.1
C.商中的“5”表示5角
D.箭头所指的“20”表示20个0.01
答案:
4.C
5.(易错题)东山白沙枇杷是苏州特产,是我国国家地理标志产品。用200元可以买8千克枇杷,照这样计算,1元可以买多少千克枇杷?买1千克枇杷需要多少元?
答案:
5. 8÷200=0.04(千克) 200÷8=25(元)
易错分析:两个问题都用除法计算,容易把被除数和除数搞反。
易错分析:两个问题都用除法计算,容易把被除数和除数搞反。
6. 下面是李老师在节日大促时买的生活用品的订单截图。平均每双筷子多少元?
$\begin{array}{|l|}\hline\begin{array}{l}\text { 筷子 } 10 \text { 双装 } \\\text { 包邮 } \quad \text { 买 } 10 \text { 双 } \\\text { 送 } 2 \text { 双 }\end{array} \\\hline25.8 \text { 元 } \\\hline\end{array}$

$\begin{array}{|l|}\hline\begin{array}{l}\text { 筷子 } 10 \text { 双装 } \\\text { 包邮 } \quad \text { 买 } 10 \text { 双 } \\\text { 送 } 2 \text { 双 }\end{array} \\\hline25.8 \text { 元 } \\\hline\end{array}$
答案:
6. 10+2=12(双) 25.8÷12=2.15(元)
7.(思维过程)木工组的同学把一根9.5分米长的木条锯成了5根同样长的短木条,一共用了3.4分钟,每根短木条长多少分米?锯一次需要多长时间?
答案:
7. 长度:9.5÷5=1.9(分米)
时间:5−1=4(次) 3.4÷4=0.85(分)
解析:求每根短木条的长度,用总长度除以锯成的根数;求锯一次需要的时间,用总时间除以锯的次数,锯的次数比锯成的根数少1。
时间:5−1=4(次) 3.4÷4=0.85(分)
解析:求每根短木条的长度,用总长度除以锯成的根数;求锯一次需要的时间,用总时间除以锯的次数,锯的次数比锯成的根数少1。
查看更多完整答案,请扫码查看