第28页
- 第1页
- 第2页
- 第3页
- 第4页
- 第5页
- 第6页
- 第7页
- 第8页
- 第9页
- 第10页
- 第11页
- 第12页
- 第13页
- 第14页
- 第15页
- 第16页
- 第17页
- 第18页
- 第19页
- 第20页
- 第21页
- 第22页
- 第23页
- 第24页
- 第25页
- 第26页
- 第27页
- 第28页
- 第29页
- 第30页
- 第31页
- 第32页
- 第33页
- 第34页
- 第35页
- 第36页
- 第37页
- 第38页
- 第39页
- 第40页
- 第41页
- 第42页
- 第43页
- 第44页
- 第45页
- 第46页
- 第47页
- 第48页
- 第49页
- 第50页
- 第51页
- 第52页
- 第53页
- 第54页
- 第55页
- 第56页
- 第57页
- 第58页
- 第59页
- 第60页
- 第61页
- 第62页
- 第63页
- 第64页
- 第65页
- 第66页
- 第67页
- 第68页
- 第69页
- 第70页
- 第71页
- 第72页
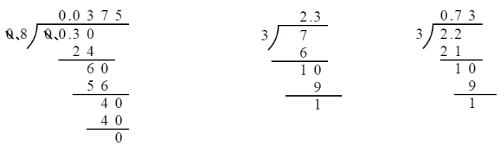
探究:计算下面各题,并观察这些商分别有什么特点。
$0.03÷0.8= $ $7÷3= $ $2.2÷3= $
1. 算一算。
2. 观察各题的商的特点,你发现了什么?
$0.03÷0.8= $ $7÷3= $ $2.2÷3= $
1. 算一算。
略
2. 观察各题的商的特点,你发现了什么?
四 有限 无限 十分 3 循环 是
答案:

1.
2.四 有限 无限 十分 3 循环 是
(1)$4.3838…$是循环小数,用简便形式写作(
$4.\dot{3}\dot{8}$
);$0.204646…$是循环小数,用简便形式写作($0.\dot{2}04\dot{6}$
)。
答案:
$4.\dot{3}\dot{8}$ $0.\dot{2}04\dot{6}$
(2)在$0.3232$,$5.2325$,$4.99…$,$0.23535…$,$0.18$中:
有限小数有(
无限小数有(
循环小数有(
有限小数有(
0.3232,5.2325,0.18
);无限小数有(
4.99…,0.23535…
);循环小数有(
4.99…,0.23535…
)。
答案:
0.3232,5.2325,0.18;4.99…,0.23535…;4.99…,0.23535…
2. 在$◯$里填上“$>$”“$<$”或“$=$”。
$0.2◯$
$7÷3◯$
$6.\dot{7}◯$
$0.2◯$
<
$0.\dot{2}$ $0.\dot{1}\dot{0}◯$>
$0.101$$7÷3◯$
=
$2.\dot{3}$ $3.3\dot{7}◯$>
$3.\dot{3}\dot{7}$$6.\dot{7}◯$
>
$6.6\dot{9}$ $6.78◯$<
$6.\dot{7}8\dot{0}$
答案:
< > = > > <
查看更多完整答案,请扫码查看