第55页
- 第1页
- 第2页
- 第3页
- 第4页
- 第5页
- 第6页
- 第7页
- 第8页
- 第9页
- 第10页
- 第11页
- 第12页
- 第13页
- 第14页
- 第15页
- 第16页
- 第17页
- 第18页
- 第19页
- 第20页
- 第21页
- 第22页
- 第23页
- 第24页
- 第25页
- 第26页
- 第27页
- 第28页
- 第29页
- 第30页
- 第31页
- 第32页
- 第33页
- 第34页
- 第35页
- 第36页
- 第37页
- 第38页
- 第39页
- 第40页
- 第41页
- 第42页
- 第43页
- 第44页
- 第45页
- 第46页
- 第47页
- 第48页
- 第49页
- 第50页
- 第51页
- 第52页
- 第53页
- 第54页
- 第55页
- 第56页
- 第57页
- 第58页
- 第59页
- 第60页
- 第61页
- 第62页
- 第63页
- 第64页
- 第65页
- 第66页
- 第67页
- 第68页
- 第69页
- 第70页
- 第71页
- 第72页
- 第73页
- 第74页
- 第75页
- 第76页
1. (3 分)计算$-3(x - 2y) + 4(x - 2y)$的结果是(
[A] $x - 2y$
[B] $x + 2y$
[C] $-x - 2y$
[D] $-x + 2y$
A
)[A] $x - 2y$
[B] $x + 2y$
[C] $-x - 2y$
[D] $-x + 2y$
答案:
A
2. (3 分)一个多项式与$x^2 - 2x + 1的和是3x - 2$,则这个多项式为(
[A] $x^2 - 5x + 3$
[B] $-x^2 + x - 1$
[C] $-x^2 + 5x - 3$
[D] $x^2 - 5x - 13$
C
)[A] $x^2 - 5x + 3$
[B] $-x^2 + x - 1$
[C] $-x^2 + 5x - 3$
[D] $x^2 - 5x - 13$
答案:
C
3. (3 分)计算$6a^2 - 5a + 3与5a^2 + 2a - 1$的差,结果正确的是(
[A] $a^2 - 3a + 4$
[B] $a^2 - 3a + 2$
[C] $a^2 - 7a + 2$
[D] $a^2 - 7a + 4$
D
)[A] $a^2 - 3a + 4$
[B] $a^2 - 3a + 2$
[C] $a^2 - 7a + 2$
[D] $a^2 - 7a + 4$
答案:
D
4. (3 分)如图,两个正方形的面积分别为 16,9,两阴影部分的面积分别为$a$,$b$($a > b$),则$a - b$等于(

[A] 7
[B] 6
[C] 5
[D] 4
A
)[A] 7
[B] 6
[C] 5
[D] 4
答案:
A
5. (3 分)若$a - b = 2$,$b - c = -3$,则$a - c$等于(
[A] 1
[B] $-1$
[C] 5
[D] $-5$
B
)[A] 1
[B] $-1$
[C] 5
[D] $-5$
答案:
B
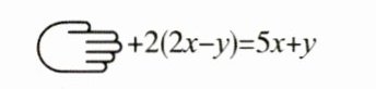
6. (3 分)王老师在黑板上书写了一个正确的演算过程,随后用手掌捂住了一个一次式,如图所示.王老师捂住的一次式是

x+3y
.
答案:
x+3y
7. (3 分)若$m^2 + mn = -3$,$n^2 - 3mn = 18$,则$m^2 + 4mn - n^2$的值为
-21
.
答案:
-21
8. (3 分)已知$A = x^2 + xy - 2x - 3$,$B = -x^2 + 3xy - 9$.若$3A - B的值等于-2$,则代数式$x^2 - \frac{3}{2}x + 3$的值是

$\frac{5}{2}$
.
答案:
$\frac{5}{2}$
9. (5 分)化简求值:
$\frac{1}{3}x^3 - (-\frac{3}{2}x^2 + \frac{1}{3}x^3) - \frac{1}{2}x^2 + (4x + 6) - 5x$,其中$x = -1$.
$\frac{1}{3}x^3 - (-\frac{3}{2}x^2 + \frac{1}{3}x^3) - \frac{1}{2}x^2 + (4x + 6) - 5x$,其中$x = -1$.
答案:
解:原式$=\frac{1}{3}x^{3}+\frac{3}{2}x^{2}-\frac{1}{3}x^{3}-\frac{1}{2}x^{2}+4x+6-5x=x²-x+6,$当x=-1时,原式=(-1)²-(-1)+6=8.
查看更多完整答案,请扫码查看