第56页
- 第1页
- 第2页
- 第3页
- 第4页
- 第5页
- 第6页
- 第7页
- 第8页
- 第9页
- 第10页
- 第11页
- 第12页
- 第13页
- 第14页
- 第15页
- 第16页
- 第17页
- 第18页
- 第19页
- 第20页
- 第21页
- 第22页
- 第23页
- 第24页
- 第25页
- 第26页
- 第27页
- 第28页
- 第29页
- 第30页
- 第31页
- 第32页
- 第33页
- 第34页
- 第35页
- 第36页
- 第37页
- 第38页
- 第39页
- 第40页
- 第41页
- 第42页
- 第43页
- 第44页
- 第45页
- 第46页
- 第47页
- 第48页
- 第49页
- 第50页
- 第51页
- 第52页
- 第53页
- 第54页
- 第55页
- 第56页
- 第57页
- 第58页
- 第59页
- 第60页
- 第61页
- 第62页
- 第63页
- 第64页
- 第65页
- 第66页
- 第67页
- 第68页
- 第69页
- 第70页
- 第71页
- 第72页
- 第73页
- 第74页
- 第75页
- 第76页
- 第77页
- 第78页
- 第79页
- 第80页
- 第81页
- 第82页
- 第83页
- 第84页
- 第85页
- 第86页
- 第87页
1. 当除数的个位是1、2、3时,可采用“____”法来试商。
答案:
四舍
2. 把除数看小了试商,有时商会偏____,此时,要把商调____。
答案:
大 小
3. 算一算,填一填。

答案:
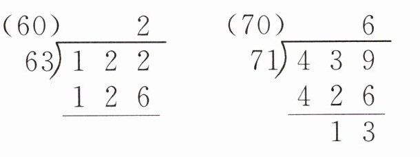
4. 根据试商情况,很快说出准确的商。
$\begin{array}{r} 2 \\ 31\enclose{longdiv}{65} \\ 62 \\ \hline 3 \end{array} $
$\begin{array}{r} 9 \\ 42\enclose{longdiv}{368} \\ 378 \\ \hline \end{array}\\ \hline $

准确的商是( ) 准确的商是( )
$\begin{array}{r} 2 \\ 63\enclose{longdiv}{122} \\ 126 \\ \hline \end{array}\\ \hline $
$\begin{array}{r} 6 \\ 71\enclose{longdiv}{439} \\ 426 \\ \hline 13 \end{array} $

准确的商是( ) 准确的商是( )
$\begin{array}{r} 2 \\ 31\enclose{longdiv}{65} \\ 62 \\ \hline 3 \end{array} $
$\begin{array}{r} 9 \\ 42\enclose{longdiv}{368} \\ 378 \\ \hline \end{array}\\ \hline $
准确的商是( ) 准确的商是( )
$\begin{array}{r} 2 \\ 63\enclose{longdiv}{122} \\ 126 \\ \hline \end{array}\\ \hline $
$\begin{array}{r} 6 \\ 71\enclose{longdiv}{439} \\ 426 \\ \hline 13 \end{array} $
准确的商是( ) 准确的商是( )
答案:
2 8 1 6
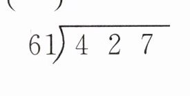
5. 先想把除数看作多少来试商,再计算结果。
$\begin{array}{r} ( ) \\ 83\enclose{longdiv}{737} \end{array} $

$\begin{array}{r} ( ) \\ 42\enclose{longdiv}{284} \end{array} $

$\begin{array}{r} ( ) \\ 61\enclose{longdiv}{427} \end{array} $
$\begin{array}{r} ( ) \\ 83\enclose{longdiv}{737} \end{array} $
答案:
80 8……73 40 6……32 60 7
6. 列竖式计算。
$184÷23= $
$256÷42= $
$342÷91= $
$90÷23= $
$184÷23= $
$256÷42= $
$342÷91= $
$90÷23= $
答案:
8 6……4 3……69 3……21
7. 括号里最大能填几?
$41×( )<172$
$11×( )<108$
$93×( )<200$
$12×( )<90$
$41×( )<172$
$11×( )<108$
$93×( )<200$
$12×( )<90$
答案:
4 9 2 7
查看更多完整答案,请扫码查看