第66页
- 第2页
- 第3页
- 第4页
- 第5页
- 第6页
- 第7页
- 第8页
- 第9页
- 第10页
- 第11页
- 第12页
- 第13页
- 第14页
- 第15页
- 第16页
- 第17页
- 第18页
- 第19页
- 第20页
- 第21页
- 第22页
- 第23页
- 第24页
- 第25页
- 第26页
- 第27页
- 第28页
- 第29页
- 第30页
- 第31页
- 第32页
- 第33页
- 第34页
- 第35页
- 第36页
- 第37页
- 第38页
- 第39页
- 第40页
- 第41页
- 第42页
- 第43页
- 第44页
- 第45页
- 第46页
- 第47页
- 第48页
- 第49页
- 第50页
- 第51页
- 第52页
- 第53页
- 第54页
- 第55页
- 第56页
- 第57页
- 第58页
- 第59页
- 第60页
- 第61页
- 第62页
- 第63页
- 第64页
- 第65页
- 第66页
- 第67页
- 第68页
- 第69页
1. 汽车尾气中含有的下列物质,排放到空气中会形成酸雨的是( )
A.一氧化碳
B.二氧化碳
C.二氧化硫
D.碳氢化合物
A.一氧化碳
B.二氧化碳
C.二氧化硫
D.碳氢化合物
答案:
C
2. 下列金属氧化物能与水反应生成碱的是( )
$A. Fe_2O_3$
B. CuO
$C. MnO_2$
$D. Na_2O$
$A. Fe_2O_3$
B. CuO
$C. MnO_2$
$D. Na_2O$
答案:
D
3. 下列转化不能通过一步反应实现的是( )
$A. Ba(OH)_2→NaOH$
B. HCl→NaCl
$C. Fe_2O_3→Fe(OH)_3$
$D. MgCO_3→MgCl_2$
$A. Ba(OH)_2→NaOH$
B. HCl→NaCl
$C. Fe_2O_3→Fe(OH)_3$
$D. MgCO_3→MgCl_2$
答案:
C
4. 如图所示是小科用手势“OK”表示初中化学反应中生成水的不同方法,要求手指上的物质分别通过某种基本类型的反应能直接生成$H_2O,$则物质X一定不是下列物质中的( )

$A. H_2$
$B. H_2CO_3$
C. KOH
$D. CH_4$
$A. H_2$
$B. H_2CO_3$
C. KOH
$D. CH_4$
答案:
D
5. 下列各个选项所示的物质,能通过转化实现的是( )
A.Cu$\xrightarrow{O_2}$CuO$\xrightarrow{H_2O}$Cu(OH)_2
B.CO_2$\xrightarrow{NaOH}$Na_2CO_3$\xrightarrow{Ca(OH)_2}$NaOH
C.C$\xrightarrow{O_2}$CO$\xrightarrow{H_2O}$H_2CO_3
D.Fe_2O_3$\xrightarrow{H_2SO_4}$FeSO_4$\xrightarrow{HCl}$FeCl_2
A.Cu$\xrightarrow{O_2}$CuO$\xrightarrow{H_2O}$Cu(OH)_2
B.CO_2$\xrightarrow{NaOH}$Na_2CO_3$\xrightarrow{Ca(OH)_2}$NaOH
C.C$\xrightarrow{O_2}$CO$\xrightarrow{H_2O}$H_2CO_3
D.Fe_2O_3$\xrightarrow{H_2SO_4}$FeSO_4$\xrightarrow{HCl}$FeCl_2
答案:
解:A. Cu与O₂在加热条件下反应生成CuO(2Cu+O₂$\xlongequal{\Delta}$2CuO),但CuO与H₂O不反应,不能转化为Cu(OH)₂,A错误。
B. CO₂与NaOH反应生成Na₂CO₃(CO₂+2NaOH=Na₂CO₃+H₂O),Na₂CO₃与Ca(OH)₂反应生成NaOH(Na₂CO₃+Ca(OH)₂=CaCO₃↓+2NaOH),B正确。
C. C与O₂在不完全燃烧时生成CO(2C+O₂$\xlongequal{点燃}$2CO),但CO与H₂O不反应,不能转化为H₂CO₃,C错误。
D. Fe₂O₃与H₂SO₄反应生成Fe₂(SO₄)₃(Fe₂O₃+3H₂SO₄=Fe₂(SO₄)₃+3H₂O),不能生成FeSO₄,D错误。
结论:B
B. CO₂与NaOH反应生成Na₂CO₃(CO₂+2NaOH=Na₂CO₃+H₂O),Na₂CO₃与Ca(OH)₂反应生成NaOH(Na₂CO₃+Ca(OH)₂=CaCO₃↓+2NaOH),B正确。
C. C与O₂在不完全燃烧时生成CO(2C+O₂$\xlongequal{点燃}$2CO),但CO与H₂O不反应,不能转化为H₂CO₃,C错误。
D. Fe₂O₃与H₂SO₄反应生成Fe₂(SO₄)₃(Fe₂O₃+3H₂SO₄=Fe₂(SO₄)₃+3H₂O),不能生成FeSO₄,D错误。
结论:B
6. 下列转化能一步完成的是( )
$① CH_4→CO_2 ② HNO_3→HCl ③ CaO→Ca(OH)_2 ④ BaCl_2→Ba(NO_3)_2 ⑤ CuO→Cu$
A.①③④⑤
B.②③④⑤
C.①②④⑤
D.①②③④
$① CH_4→CO_2 ② HNO_3→HCl ③ CaO→Ca(OH)_2 ④ BaCl_2→Ba(NO_3)_2 ⑤ CuO→Cu$
A.①③④⑤
B.②③④⑤
C.①②④⑤
D.①②③④
答案:
A
7. 下列各组转化中,在一定条件下均能一步实现的是( )
$① CuO←Cu→CuSO_4 ② NaCl←Na_2CO_3→NaOH ③ H_2O←H_2→H_2SO_4$

A.①和②
B.②和③
C.①和③
D.①②③
$① CuO←Cu→CuSO_4 ② NaCl←Na_2CO_3→NaOH ③ H_2O←H_2→H_2SO_4$
A.①和②
B.②和③
C.①和③
D.①②③
答案:
A
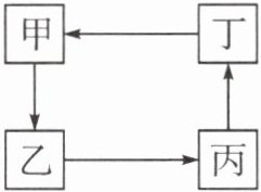
8. 甲、乙、丙、丁四种物质有如图所示的转化关系(部分反应物和生成物已略去),则甲、乙、丙、丁依次是( )

A.C、CO、$CO_2、$$H_2CO_3$
B.CO、$CO_2、$C、$H_2CO_3$
C.CaO、$Ca(OH)_2、$$CaCl_2、$$CaCO_3$
$D.CaCO_3、$$Ca(OH)_2、$$CaCl_2、$CaO
A.C、CO、$CO_2、$$H_2CO_3$
B.CO、$CO_2、$C、$H_2CO_3$
C.CaO、$Ca(OH)_2、$$CaCl_2、$$CaCO_3$
$D.CaCO_3、$$Ca(OH)_2、$$CaCl_2、$CaO
答案:
解:分析各选项转化关系:
选项A:甲为C,乙为CO,丙为CO₂,丁为H₂CO₃。C→CO(正确),CO→CO₂(正确),CO₂→H₂CO₃(正确),H₂CO₃→C(无法一步转化),不符合。
选项B:甲为CO,乙为CO₂,丙为C,丁为H₂CO₃。CO→CO₂(正确),CO₂→C(正确),C→H₂CO₃(无法一步转化),不符合。
选项C:甲为CaO,乙为Ca(OH)₂,丙为CaCl₂,丁为CaCO₃。CaO→Ca(OH)₂(CaO+H₂O=Ca(OH)₂,正确),Ca(OH)₂→CaCl₂(Ca(OH)₂+2HCl=CaCl₂+2H₂O,正确),CaCl₂→CaCO₃(CaCl₂+Na₂CO₃=CaCO₃↓+2NaCl,正确),CaCO₃→CaO(CaCO₃高温CaO+CO₂↑,正确),符合。
选项D:甲为CaCO₃,乙为Ca(OH)₂,丙为CaCl₂,丁为CaO。CaCO₃→Ca(OH)₂(无法一步转化),不符合。
结论:C
选项A:甲为C,乙为CO,丙为CO₂,丁为H₂CO₃。C→CO(正确),CO→CO₂(正确),CO₂→H₂CO₃(正确),H₂CO₃→C(无法一步转化),不符合。
选项B:甲为CO,乙为CO₂,丙为C,丁为H₂CO₃。CO→CO₂(正确),CO₂→C(正确),C→H₂CO₃(无法一步转化),不符合。
选项C:甲为CaO,乙为Ca(OH)₂,丙为CaCl₂,丁为CaCO₃。CaO→Ca(OH)₂(CaO+H₂O=Ca(OH)₂,正确),Ca(OH)₂→CaCl₂(Ca(OH)₂+2HCl=CaCl₂+2H₂O,正确),CaCl₂→CaCO₃(CaCl₂+Na₂CO₃=CaCO₃↓+2NaCl,正确),CaCO₃→CaO(CaCO₃高温CaO+CO₂↑,正确),符合。
选项D:甲为CaCO₃,乙为Ca(OH)₂,丙为CaCl₂,丁为CaO。CaCO₃→Ca(OH)₂(无法一步转化),不符合。
结论:C
9. 如图处于连线两端的物质,在一定的条件下都能发生化学反应的物质组别是( )


| 选项 | 甲 | 乙 | 丙 | 丁 |
| :--- | :---- | :---- | :------ | :---- |
| A | C |$ O_2 $|$ H_2SO_4 $| CuO |
| B | Fe |$ H_2SO_4 $|$ CuCl_2 $| NaOH |
| C | NaOH |$ CO_2 $| KOH |$ CuCl_2 $|
| D |$ Na_2SO_4 $|$ Ba(OH)_2 $| HCl |$ Ba(NO_3)_2 $|
| 选项 | 甲 | 乙 | 丙 | 丁 |
| :--- | :---- | :---- | :------ | :---- |
| A | C |$ O_2 $|$ H_2SO_4 $| CuO |
| B | Fe |$ H_2SO_4 $|$ CuCl_2 $| NaOH |
| C | NaOH |$ CO_2 $| KOH |$ CuCl_2 $|
| D |$ Na_2SO_4 $|$ Ba(OH)_2 $| HCl |$ Ba(NO_3)_2 $|
答案:
C
10. 将含有CO、$H_2、$$N_2、$$CO_2$的混合气体,依次通过灼热的CuO粉末(足量)、澄清石灰水(足量)和浓硫酸,假设每一步都反应完全,最后剩下的气体是( )
$A. N_2$
$B. N_2、$$CO_2$
$C. N_2、$$H_2O$
$D. N_2、$CO
$A. N_2$
$B. N_2、$$CO_2$
$C. N_2、$$H_2O$
$D. N_2、$CO
答案:
A
11. 如图是硫元素在自然界中的循环图。下列有关说法不正确的是( )

A.大量使用化石燃料是形成酸雨的原因之一
B.循环过程中硫元素的化合价既有升高也有降低
C.除去化石燃料中的硫能减少$SO_2$对大气的污染
D.酸雨的形成只与$SO_2$的大量排放有关
A.大量使用化石燃料是形成酸雨的原因之一
B.循环过程中硫元素的化合价既有升高也有降低
C.除去化石燃料中的硫能减少$SO_2$对大气的污染
D.酸雨的形成只与$SO_2$的大量排放有关
答案:
D
查看更多完整答案,请扫码查看