第60页
- 第1页
- 第2页
- 第3页
- 第4页
- 第5页
- 第6页
- 第7页
- 第8页
- 第9页
- 第10页
- 第11页
- 第12页
- 第13页
- 第14页
- 第15页
- 第16页
- 第17页
- 第18页
- 第19页
- 第20页
- 第21页
- 第22页
- 第23页
- 第24页
- 第25页
- 第26页
- 第27页
- 第28页
- 第29页
- 第30页
- 第31页
- 第32页
- 第33页
- 第34页
- 第35页
- 第36页
- 第37页
- 第38页
- 第39页
- 第40页
- 第41页
- 第42页
- 第43页
- 第44页
- 第45页
- 第46页
- 第47页
- 第48页
- 第49页
- 第50页
- 第51页
- 第52页
- 第53页
- 第54页
- 第55页
- 第56页
- 第57页
- 第58页
- 第59页
- 第60页
- 第61页
- 第62页
- 第63页
- 第64页
- 第65页
- 第66页
- 第67页
- 第68页
- 第69页
- 第70页
- 第71页
- 第72页
- 第73页
- 第74页
- 第75页
- 第76页
- 第77页
- 第78页
- 第79页
- 第80页
- 第81页
- 第82页
- 第83页
- 第84页
- 第85页
- 第86页
- 第87页
- 第88页
- 第89页
- 第90页
- 第91页
- 第92页
- 第93页
- 第94页
- 第95页
- 第96页
- 第97页
- 第98页
- 第99页
- 第100页
- 第101页
- 第102页
- 第103页
- 第104页
1. 若 $ A = x^{2} - 2xy $,$ B = y^{2} + 2xy $,则 $ A + B = $(
A.$ x^{2} + y^{2} $
B.$ 4xy $
C.$ -4xy $
D.$ x^{2} - y^{2} $
A
)。A.$ x^{2} + y^{2} $
B.$ 4xy $
C.$ -4xy $
D.$ x^{2} - y^{2} $
答案:
A
2. 化简:
(1)$ (6a^{2} - 5a) - (5a^{2} + 2a) = $____
(2)$ 2(4x - 2) - 3(-1 + 5x) = $____
(1)$ (6a^{2} - 5a) - (5a^{2} + 2a) = $____
$a^{2}-7a$
;(2)$ 2(4x - 2) - 3(-1 + 5x) = $____
$-7x-1$
。
答案:
(1)$a^{2}-7a$;
(2)$-7x-1$
(1)$a^{2}-7a$;
(2)$-7x-1$
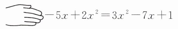
3. 数学课上,老师在黑板上书写了一个正确的演算过程,随后用手掌捂住了一个二次三项式,形式如下:
(1)求老师手掌所捂的二次三项式;
(2)若 $ x = \frac{5}{7} $,求所捂二次三项式的值。
(2)若 $ x = \frac{5}{7} $,求所捂二次三项式的值。
答案:
(1)解:$3x^{2}-7x+1-(-5x+2x^{2})$$=3x^{2}-7x+1+5x-2x^{2}$$=x^{2}-2x+1$,所以所捂的二次三项式是$x^{2}-2x+1$。
(2)当$x=\frac {5}{7}$时,$x^{2}-2x+1=(\frac {5}{7})^{2}-2×\frac {5}{7}+1=\frac {4}{49}$。
(1)解:$3x^{2}-7x+1-(-5x+2x^{2})$$=3x^{2}-7x+1+5x-2x^{2}$$=x^{2}-2x+1$,所以所捂的二次三项式是$x^{2}-2x+1$。
(2)当$x=\frac {5}{7}$时,$x^{2}-2x+1=(\frac {5}{7})^{2}-2×\frac {5}{7}+1=\frac {4}{49}$。
4. 甲、乙、丙三名大学生到工厂勤工俭学,甲每周收入 $ a $ 元,乙每周的收入比甲收入的 2 倍少 80 元,丙每周的收入比乙收入的一半多 100 元。
(1)用含 $ a $ 的代数式表示三人每周的总收入;
(2)当 $ a = 400 $ 时,求三人每周的总收入。
(1)用含 $ a $ 的代数式表示三人每周的总收入;
(2)当 $ a = 400 $ 时,求三人每周的总收入。
答案:
(1)解:$a+(2a-80)+[0.5×(2a-80)+100]=$$4a-20$(元)。
(2)当$a=400$时,$4a-20=4×400-20=1580$。因此三人每周的总收入为1580元。
(1)解:$a+(2a-80)+[0.5×(2a-80)+100]=$$4a-20$(元)。
(2)当$a=400$时,$4a-20=4×400-20=1580$。因此三人每周的总收入为1580元。
1. 计算 $ ab $ 减 $ a^{2} - ab + b^{2} $ 的结果是(
A.$ a^{2} + 2ab + b^{2} $
B.$ -a^{2} + b^{2} $
C.$ -a^{2} + 2ab + b^{2} $
D.$ -a^{2} + 2ab - b^{2} $
D
)。A.$ a^{2} + 2ab + b^{2} $
B.$ -a^{2} + b^{2} $
C.$ -a^{2} + 2ab + b^{2} $
D.$ -a^{2} + 2ab - b^{2} $
答案:
D
2. 若一个单项式加 $ a^{2} - b^{2} $ 的结果是 $ a^{2} + b^{2} $,则该单项式是(
A.$ 2a^{2} $
B.$ -2a^{2} $
C.$ 2b^{2} $
D.$ -2b^{2} $
C
)。A.$ 2a^{2} $
B.$ -2a^{2} $
C.$ 2b^{2} $
D.$ -2b^{2} $
答案:
C
3. 若一个多项式与 $ 3x^{2}y - 3xy^{2} $ 的和为 $ x^{3} - 3x^{2}y $,则这个多项式是(
A.$ x^{3} + 3xy^{2} $
B.$ x^{3} - 3xy^{2} $
C.$ x^{3} - 6x^{2}y + 3xy^{2} $
D.$ x^{3} - 6x^{2}y - 3xy^{2} $
C
)。A.$ x^{3} + 3xy^{2} $
B.$ x^{3} - 3xy^{2} $
C.$ x^{3} - 6x^{2}y + 3xy^{2} $
D.$ x^{3} - 6x^{2}y - 3xy^{2} $
答案:
C
4. 化简 $ 2(-2x^{2} + \frac{1}{2}x - 1) - (\frac{1}{2}x - 1) $ 的结果是
$-4x^{2}+\frac {1}{2}x-1$
。
答案:
$-4x^{2}+\frac {1}{2}x-1$
查看更多完整答案,请扫码查看