(4)如果☆÷△=□,那么(☆÷2)÷△=(
A.□
B.□÷2
C.□×2
D.△×2
B
)。A.□
B.□÷2
C.□×2
D.△×2
答案:
解析:本题可根据商的变化规律来求解。
在除法算式中,被除数和除数同时扩大或缩小相同的倍数($0$除外),商不变;除数不变,被除数扩大或缩小几倍,商就扩大或缩小相同的倍数。
已知☆÷△=□,在(☆÷2)÷△这个算式中,除数△不变,被除数☆除以$2$,即被除数缩小了$2$倍,那么商也会缩小$2$倍,所以(☆÷2)÷△的商就是□÷2。
答案:B
在除法算式中,被除数和除数同时扩大或缩小相同的倍数($0$除外),商不变;除数不变,被除数扩大或缩小几倍,商就扩大或缩小相同的倍数。
已知☆÷△=□,在(☆÷2)÷△这个算式中,除数△不变,被除数☆除以$2$,即被除数缩小了$2$倍,那么商也会缩小$2$倍,所以(☆÷2)÷△的商就是□÷2。
答案:B
(5)把250个乒乓球放进盒子,每个盒子可以放20个,至少要准备(
A.10
B.11
C.12
D.13
D
)个盒子。A.10
B.11
C.12
D.13
答案:
250÷20=12(个)……10(个)
12+1=13(个)
D
12+1=13(个)
D
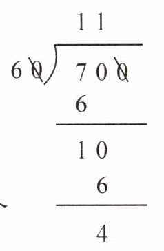
(6)水果店有700个苹果需要装箱,每箱装60个,可以装几箱?还剩多少个?根据右边的竖式,判断下面说法正确的是(
A.可装11箱,还剩4个
B.可装11箱,还剩40个
C.可装110箱,还剩4个
D.可装110箱,还剩40个
B
)。A.可装11箱,还剩4个
B.可装11箱,还剩40个
C.可装110箱,还剩4个
D.可装110箱,还剩40个
答案:
解析:本题可根据除法竖式的计算方法,结合题目所给的苹果总数和每箱可装个数,通过分析竖式各部分含义来求解。
在计算$700÷60$时,根据商不变的性质,将被除数和除数同时除以$10$,转化为$70÷6$来进行计算。
从竖式中可以看出,$70÷6$商$1$,$1$在十位上,表示$1$个十,即$10$,$6×10 = 60$,$70 - 60 = 10$;再把个位上的$0$落下来,$100÷60$商$1$,$1$在个位上,表示$1$个一,即$1$,$60×1 = 60$,$100 - 60 = 40$。
所以$700÷60 = 11\cdots\cdots40$,其中商$11$表示可以装$11$箱,余数$40$表示还剩$40$个苹果。
答案:B。
在计算$700÷60$时,根据商不变的性质,将被除数和除数同时除以$10$,转化为$70÷6$来进行计算。
从竖式中可以看出,$70÷6$商$1$,$1$在十位上,表示$1$个十,即$10$,$6×10 = 60$,$70 - 60 = 10$;再把个位上的$0$落下来,$100÷60$商$1$,$1$在个位上,表示$1$个一,即$1$,$60×1 = 60$,$100 - 60 = 40$。
所以$700÷60 = 11\cdots\cdots40$,其中商$11$表示可以装$11$箱,余数$40$表示还剩$40$个苹果。
答案:B。
3. 四年级师生210人租车去参观科技馆。
中巴车限乘客:35人 租金:560元
大巴车限乘客:54人 租金:810元

(1)你能根据“210÷54”这个算式提出一个数学问题吗?______?
(2)如果只租大巴车,需要付多少租金?
(3)如果只租中巴车,每人需要付多少租金?
(1)
(2)解:210÷54=3(辆)……48(人) ,余下的48人还需要一辆大巴车,3+1=4(辆),
4×810=3240(元)。
答:如果只租大巴车,需要付3240元租金。
(3)解:210÷35=6(辆),
6×560=3360(元),
3360÷210=16(元)。
答:如果只租中巴车,每人需要付16元租金。
中巴车限乘客:35人 租金:560元
大巴车限乘客:54人 租金:810元
(1)你能根据“210÷54”这个算式提出一个数学问题吗?______?
(2)如果只租大巴车,需要付多少租金?
(3)如果只租中巴车,每人需要付多少租金?
(1)
如果只租大巴车,需要租几辆?
(2)解:210÷54=3(辆)……48(人) ,余下的48人还需要一辆大巴车,3+1=4(辆),
4×810=3240(元)。
答:如果只租大巴车,需要付3240元租金。
(3)解:210÷35=6(辆),
6×560=3360(元),
3360÷210=16(元)。
答:如果只租中巴车,每人需要付16元租金。
答案:
解析:
(1) “210÷54”这个算式表示的是将210人分配到每辆大巴车可坐54人的情境中,计算需要多少辆大巴车。因此,可以提出的数学问题是:如果只租大巴车,需要租几辆?
(2) 要计算只租大巴车需要付多少租金,首先要确定需要租几辆大巴车。由于210÷54=3余48,即3辆大巴车坐不下所有人,还需要再加一辆车,所以总共需要4辆大巴车。每辆大巴车的租金是810元,所以总租金是4×810=3240元。
(3) 要计算只租中巴车时每人需要付多少租金,首先要确定租多少辆中巴车能坐下所有人。由于210÷35=6,所以需要6辆中巴车。6辆中巴车的总租金是6×560=3360元。因此,每人需要付的租金是3360÷210=16元。
答案:
(1) 如果只租大巴车,需要租几辆?
(2) 解:210÷54=3(辆)……48(人) ,余下的48人还需要一辆大巴车,3+1=4(辆),
4×810=3240(元)。
答:如果只租大巴车,需要付3240元租金。
(3) 解:210÷35=6(辆),
6×560=3360(元),
3360÷210=16(元)。
答:如果只租中巴车,每人需要付16元租金。
(1) “210÷54”这个算式表示的是将210人分配到每辆大巴车可坐54人的情境中,计算需要多少辆大巴车。因此,可以提出的数学问题是:如果只租大巴车,需要租几辆?
(2) 要计算只租大巴车需要付多少租金,首先要确定需要租几辆大巴车。由于210÷54=3余48,即3辆大巴车坐不下所有人,还需要再加一辆车,所以总共需要4辆大巴车。每辆大巴车的租金是810元,所以总租金是4×810=3240元。
(3) 要计算只租中巴车时每人需要付多少租金,首先要确定租多少辆中巴车能坐下所有人。由于210÷35=6,所以需要6辆中巴车。6辆中巴车的总租金是6×560=3360元。因此,每人需要付的租金是3360÷210=16元。
答案:
(1) 如果只租大巴车,需要租几辆?
(2) 解:210÷54=3(辆)……48(人) ,余下的48人还需要一辆大巴车,3+1=4(辆),
4×810=3240(元)。
答:如果只租大巴车,需要付3240元租金。
(3) 解:210÷35=6(辆),
6×560=3360(元),
3360÷210=16(元)。
答:如果只租中巴车,每人需要付16元租金。
查看更多完整答案,请扫码查看