1. 在计算36+5×9时,应该先算(5×9),再算(36+45)。(写算式)
答案:
5×9=45 36+45=81 解析 在36+5×9中,有加法,又有乘法,是两级运算,应先算乘法,即先算5×9=45,再算加法,即36+45=81。
2. 下面各题先算什么?把它们圈起来,再计算。
502-5×7
63÷7×3
5×9+6×9
168+54÷6
6×5+253
8×5-18÷3
502-5×7
63÷7×3
5×9+6×9
168+54÷6
6×5+253
8×5-18÷3
答案:
圈略 467 27 99 177 283 34 解析 在没有括号的算式里,如果有乘、除法,又有加、减法,那么要先算乘、除法,后算加、减法。注意:把先算的圈起来。
3. 在〇里填上“>”“<”或“=”。
5×9+15〇60
64-32÷8〇53
9×4÷6〇24÷8+4
5×9+15〇60
64-32÷8〇53
9×4÷6〇24÷8+4
答案:
= > < 解析 在没有括号的算式里,如果有乘、除法,又有加、减法,那么要先算乘、除法,后算加、减法。看清运算符号,有算式的先计算,再比较大小。
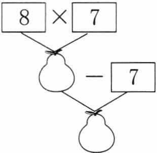
4. (1)先填空,再列综合算式。


综合算式:______
综合算式:______
答案:
56 49 8×7-7=49 解析
(1)先按图示计算,再列综合算式。理解图中的意思,它表示8乘7的积与7的差,即8×7-7=49。
(1)先按图示计算,再列综合算式。理解图中的意思,它表示8乘7的积与7的差,即8×7-7=49。
(2)看图列式计算。
□〇□〇□=□( )
□〇□〇□=□( )
答案:
7×6+40=82(元) 解析
(2)一个圆形生日蛋糕40元,每个三角形蛋糕6元,求一共花了多少钱,就是把7个6元与1个40元合起来,列综合算式是7×6+40 =82(元),按正确的运算顺序计算即可。
(2)一个圆形生日蛋糕40元,每个三角形蛋糕6元,求一共花了多少钱,就是把7个6元与1个40元合起来,列综合算式是7×6+40 =82(元),按正确的运算顺序计算即可。
5. 小刚在计算“18+□÷9”时弄错了运算顺序,先算了加法,后算了除法,结果得数是8。正确的得数是多少?
答案:
8×9-18=54 18+54÷9=24 解析 小刚的题目可以“将错就错”,先根据错误的运算顺序得出的结果求出 表示的数,再按正确的运算顺序求出正确的得数。按小刚的运算顺序,可以把算式改为(18+ )÷9 =8,则18+ =8×9,所以 =8×9-18=54。那么正确的得数是18+54÷9=18+6 =24。
查看更多完整答案,请扫码查看