第74页
- 第1页
- 第2页
- 第3页
- 第4页
- 第5页
- 第6页
- 第7页
- 第8页
- 第9页
- 第10页
- 第11页
- 第12页
- 第13页
- 第14页
- 第15页
- 第16页
- 第17页
- 第18页
- 第19页
- 第20页
- 第21页
- 第22页
- 第23页
- 第24页
- 第25页
- 第26页
- 第27页
- 第28页
- 第29页
- 第30页
- 第31页
- 第32页
- 第33页
- 第34页
- 第35页
- 第36页
- 第37页
- 第38页
- 第39页
- 第40页
- 第41页
- 第42页
- 第43页
- 第44页
- 第45页
- 第46页
- 第47页
- 第48页
- 第49页
- 第50页
- 第51页
- 第52页
- 第53页
- 第54页
- 第55页
- 第56页
- 第57页
- 第58页
- 第59页
- 第60页
- 第61页
- 第62页
- 第63页
- 第64页
- 第65页
- 第66页
- 第67页
- 第68页
- 第69页
- 第70页
- 第71页
- 第72页
- 第73页
- 第74页
- 第75页
- 第76页
- 第77页
- 第78页
- 第79页
- 第80页
13. 1961 年,美国生物学家海弗里克发现正常体细胞在体外培养时,在分裂一定的次数后便会处于静止状态,这个次数被称为海弗里克极限。下列相关分析错误的是(
A.海弗里克极限受遗传物质控制
B.该实验说明正常体细胞不可能无限制地分裂
C.所有的细胞在体外培养时都有海弗里克极限现象
D.正常体细胞分裂后,新细胞的遗传物质未发生变化
C
)A.海弗里克极限受遗传物质控制
B.该实验说明正常体细胞不可能无限制地分裂
C.所有的细胞在体外培养时都有海弗里克极限现象
D.正常体细胞分裂后,新细胞的遗传物质未发生变化
答案:
C
14. 下列细胞正在进行的生命活动分别是(

A.生长、繁殖、分化
B.分裂、发育、分化
C.分裂、生长、生长
D.分裂、摄食、生长
D
)A.生长、繁殖、分化
B.分裂、发育、分化
C.分裂、生长、生长
D.分裂、摄食、生长
答案:
D
15. 如图是在显微镜下观察到的某种生物不同分裂阶段的细胞。下列相关叙述

A.图中所示为植物细胞的分裂
B.在细胞分裂的准备阶段,染色体会进行复制
C.在原来的细胞中央,会形成新的细胞膜和细胞壁
D.分裂结束后新细胞与原细胞的遗传物质各不相同
不
正
确
的是(D
)A.图中所示为植物细胞的分裂
B.在细胞分裂的准备阶段,染色体会进行复制
C.在原来的细胞中央,会形成新的细胞膜和细胞壁
D.分裂结束后新细胞与原细胞的遗传物质各不相同
答案:
D
16. 人体器官由多种组织构成,下列关于人体组织及其功能搭配的叙述,
A.上皮组织——储存营养物质,保护
B.结缔组织——支持、营养、连接和保护
C.肌肉组织——收缩和舒张,使机体产生运动
D.神经组织——感受刺激,产生并传导神经冲动
错
误
的是(A
)A.上皮组织——储存营养物质,保护
B.结缔组织——支持、营养、连接和保护
C.肌肉组织——收缩和舒张,使机体产生运动
D.神经组织——感受刺激,产生并传导神经冲动
答案:
A
17. “蒌蒿满地芦芽短,正是河豚欲上时”是苏轼《惠崇春江晚景》中的诗句,生动地描绘出初春时芦苇抽芽与河豚洄游的景象。下列关于芦苇和河豚的叙述正确的是(
A.从结构层次上分析,芦苇的叶子属于组织
B.芦苇和河豚具有复杂的结构,这是细胞生长、分裂和分化的结果
C.河豚洄游行为受大脑控制,大脑主要由肌肉组织构成
D.芦苇和河豚的结构层次为细胞→组织→器官→系统→个体
B
)A.从结构层次上分析,芦苇的叶子属于组织
B.芦苇和河豚具有复杂的结构,这是细胞生长、分裂和分化的结果
C.河豚洄游行为受大脑控制,大脑主要由肌肉组织构成
D.芦苇和河豚的结构层次为细胞→组织→器官→系统→个体
答案:
B
18. 人体的一个造血干细胞中有 46 条染色体,该细胞分裂两次后的细胞数量及产生的新细胞中染色体数量分别是(
A.4 个,46 对
B.4 个,46 条
C.2 个,23 对
D.2 个,46 对
B
)A.4 个,46 对
B.4 个,46 条
C.2 个,23 对
D.2 个,46 对
答案:
B
19. “麻雀虽小,五脏俱全”是对麻雀的整体性描述。下图所示的结构层次中,属于器官的是(

C
)
答案:
C
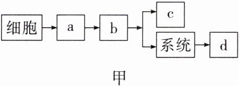
20. 图甲表示动植物体的结构层次,图乙表示植物体的不同结构,下列有关叙述

A.心脏、脑在结构层次上属于 b
B.动物体的结构层次可表示为:细胞→a→b→c
C.图乙中植物体结构层次的正确排序为④→②→③→①
D.图乙中的②对应图甲中 a 表示的结构层次

不
正
确
的是(B
)A.心脏、脑在结构层次上属于 b
B.动物体的结构层次可表示为:细胞→a→b→c
C.图乙中植物体结构层次的正确排序为④→②→③→①
D.图乙中的②对应图甲中 a 表示的结构层次
答案:
B
查看更多完整答案,请扫码查看