一、观察下图,先在每幅图的括号里填上合适的数,使天平平衡,再补全等式性质。

等式性质1:等式两边加上或减去(

等式性质2:等式两边乘同一个数,或除以同一个(
等式性质1:等式两边加上或减去(
同一个数
),左右两边仍然(相等
)。等式性质2:等式两边乘同一个数,或除以同一个(
不为0
)的数,左右两边仍然(相等
)。
答案:
2 5 同一个数 相等 15 20 不为0 相等
二、说一说,要保持天平平衡,右边应该加上什么物品?
1.

2.

1.
2.
答案:
1.
2.
1.
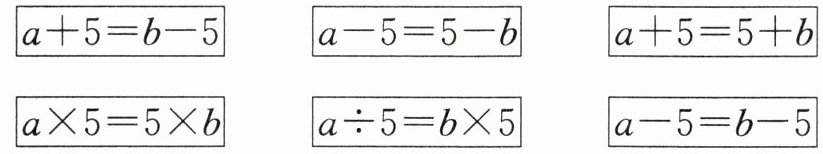
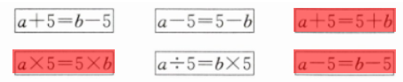
三、下面是根据等式的性质由 $ a = b $ 变形来的涂上红色。

答案:
查看更多完整答案,请扫码查看