第58页
- 第1页
- 第2页
- 第3页
- 第4页
- 第5页
- 第6页
- 第7页
- 第8页
- 第9页
- 第10页
- 第11页
- 第12页
- 第13页
- 第14页
- 第15页
- 第16页
- 第17页
- 第18页
- 第19页
- 第20页
- 第21页
- 第22页
- 第23页
- 第24页
- 第25页
- 第26页
- 第27页
- 第28页
- 第29页
- 第30页
- 第31页
- 第32页
- 第33页
- 第34页
- 第35页
- 第36页
- 第37页
- 第38页
- 第39页
- 第40页
- 第41页
- 第42页
- 第43页
- 第44页
- 第45页
- 第46页
- 第47页
- 第48页
- 第49页
- 第50页
- 第51页
- 第52页
- 第53页
- 第54页
- 第55页
- 第56页
- 第57页
- 第58页
- 第59页
- 第60页
- 第61页
- 第62页
- 第63页
1. 在一道除法算式里,如果被除数乘10,要使商不变,那么除数(
也乘10
)。
答案:
也乘10
2. $24÷8= (24÷2)÷(8÷$
2
$)$。
答案:
2
3. $(250×$
4
$)÷(50×4)= 5$。
答案:
4
1. 一个除法算式,被除数除以10,除数(
A.不变
B.乘10
C.除以10
C
),商不变。A.不变
B.乘10
C.除以10
答案:
C
2. 在计算$3600÷60$时,如果除数不变,被除数乘4,那么商(
A.乘4
B.不变
C.除以4
A
)。A.乘4
B.不变
C.除以4
答案:
A
3. 两个数相除的商是45,如果被除数、除数同时除以5,那么商是(
A.45
B.9
C.225
A
)。A.45
B.9
C.225
答案:
A
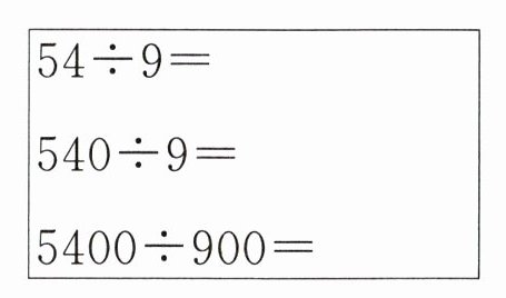
三、根据每组题中第一道算式的商,写出下面两道算式的商。


答案:
1. 对于$54÷9$:
$54÷9 = 6$;
$540÷9=(54×10)÷9 = 54÷9×10=6×10 = 60$;
$5400÷900=(54×100)÷(9×100)=54÷9 = 6$。
2. 对于$3400÷1700$:
$3400÷1700=(34×100)÷(17×100)=34÷17 = 2$;
$3400÷17=(34×100)÷17=34÷17×100 = 2×100=200$;
$34÷17 = 2$。
故答案依次为:$6$,$60$,$6$;$2$,$200$,$2$。
$54÷9 = 6$;
$540÷9=(54×10)÷9 = 54÷9×10=6×10 = 60$;
$5400÷900=(54×100)÷(9×100)=54÷9 = 6$。
2. 对于$3400÷1700$:
$3400÷1700=(34×100)÷(17×100)=34÷17 = 2$;
$3400÷17=(34×100)÷17=34÷17×100 = 2×100=200$;
$34÷17 = 2$。
故答案依次为:$6$,$60$,$6$;$2$,$200$,$2$。
四、数学医院。(先判断对错,再改正)

1. (
2. (
1. (
×
)2. (
×
)
答案:
1. (×)
解:
$\begin{array}{r} 17 \\50\sqrt{850} \\\underline{50} \\350 \\\underline{350} \\0\end{array}$
2. (×)
解:
$\begin{array}{r} 30 \\230\sqrt{6900} \\\underline{690} \\0\end{array}$
解:
$\begin{array}{r} 17 \\50\sqrt{850} \\\underline{50} \\350 \\\underline{350} \\0\end{array}$
2. (×)
解:
$\begin{array}{r} 30 \\230\sqrt{6900} \\\underline{690} \\0\end{array}$
查看更多完整答案,请扫码查看