第32页
- 第2页
- 第3页
- 第4页
- 第5页
- 第6页
- 第7页
- 第8页
- 第9页
- 第10页
- 第11页
- 第12页
- 第13页
- 第14页
- 第15页
- 第16页
- 第17页
- 第18页
- 第19页
- 第20页
- 第21页
- 第22页
- 第23页
- 第24页
- 第25页
- 第26页
- 第27页
- 第28页
- 第29页
- 第30页
- 第31页
- 第32页
- 第33页
- 第34页
- 第35页
- 第36页
- 第37页
- 第38页
- 第39页
- 第40页
- 第41页
- 第42页
- 第43页
- 第44页
- 第45页
- 第46页
- 第47页
- 第48页
- 第49页
- 第50页
- 第51页
- 第52页
- 第53页
- 第54页
- 第55页
- 第56页
- 第57页
- 第58页
- 第59页
- 第60页
- 第61页
- 第62页
- 第63页
- 第64页
- 第65页
- 第66页
- 第67页
- 第68页
- 第69页
- 第70页
- 第71页
- 第72页
- 第73页
- 第74页
- 第75页
- 第76页
- 第77页
- 第78页
- 第79页
- 第80页
- 第81页
- 第82页
- 第83页
- 第84页
1. 6月8日是世界海洋日。下图为海洋生态系统的部分食物网示意图。下列说法正确的是( )

A.该食物网共有6条食物链
B.大鱼和小鱼的关系是捕食和竞争
C.能量可以从虾流向浮游动物
D.图中大鱼获得的能量是最多的
A.该食物网共有6条食物链
B.大鱼和小鱼的关系是捕食和竞争
C.能量可以从虾流向浮游动物
D.图中大鱼获得的能量是最多的
答案:
B
2. 在食物链中流动的能量,最终来源是( )
A.绿色植物
B.太阳
C.土壤
D.植食性动物
A.绿色植物
B.太阳
C.土壤
D.植食性动物
答案:
B
3. 在“草→虫→鸟→蛇”这条食物链中,能量流动的起点是( )
A.草
B.虫
C.太阳
D.蛇
A.草
B.虫
C.太阳
D.蛇
答案:
A
4. 在生态系统中,能量沿食物链各个环节传递时,其特点是( )
A.单向传递,逐级递减
B.单向传递,逐级递增
C.循环流动,逐级递减
D.循环流动,逐级递增
A.单向传递,逐级递减
B.单向传递,逐级递增
C.循环流动,逐级递减
D.循环流动,逐级递增
答案:
A
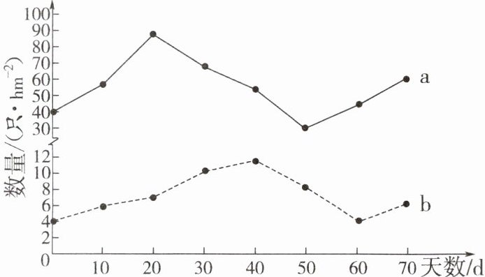
5. 瓢虫以蚜虫为食。科研人员对某自然保护区的瓢虫和蚜虫数量进行调查研究,得到下图所示结果。下列叙述不正确的是( )

A.图中a代表蚜虫,b代表瓢虫
B.蚜虫的能量全部流入瓢虫体内
C.随着瓢虫数量的增加,蚜虫数量短时间内会减少
D.瓢虫和蚜虫都是生态系统的消费者
A.图中a代表蚜虫,b代表瓢虫
B.蚜虫的能量全部流入瓢虫体内
C.随着瓢虫数量的增加,蚜虫数量短时间内会减少
D.瓢虫和蚜虫都是生态系统的消费者
答案:
B
6. 某生态系统中五种生物之间存在吃与被吃的关系,下表是它们体内农药含量的测定结果。据此推测它们之间存在的食物链是( )
|生物种类|甲|乙|丙|丁|戊|
|单位体积农药含量/mg|0.084|0.033|0.002|0.161|0.015|

A.甲→乙→丙→丁→戊
B.戊→丁→丙→乙→甲
C.丁→甲→乙→戊→丙
D.丙→戊→乙→甲→丁
|生物种类|甲|乙|丙|丁|戊|
|单位体积农药含量/mg|0.084|0.033|0.002|0.161|0.015|
A.甲→乙→丙→丁→戊
B.戊→丁→丙→乙→甲
C.丁→甲→乙→戊→丙
D.丙→戊→乙→甲→丁
答案:
D
7. 下列活动能持久促进能量流动,对人类有利的是( )
A.围湖造田
B.稻田养鱼
C.毁林造田
D.过度放牧
A.围湖造田
B.稻田养鱼
C.毁林造田
D.过度放牧
答案:
B
8. 个别商贩大量捕杀青蛙、蛇等野生动物以牟取高额利润。这种行为产生的主要影响是( )
A.丰富人类的饮食文化
B.破坏食物链,危害生态平衡
C.破坏野生动物的繁殖
D.让人们获得了丰富的营养物质
A.丰富人类的饮食文化
B.破坏食物链,危害生态平衡
C.破坏野生动物的繁殖
D.让人们获得了丰富的营养物质
答案:
B
9. “一山不容二虎”这一谚语,用生物学观点解释,其根本原因是( )
A.虎所需的生活空间很大
B.身强体壮的虎以弱小的虎为食
C.虎性情孤独,不是群居动物
D.营养级越高的生物,得到的能量越少,个体数量也就越少
A.虎所需的生活空间很大
B.身强体壮的虎以弱小的虎为食
C.虎性情孤独,不是群居动物
D.营养级越高的生物,得到的能量越少,个体数量也就越少
答案:
D
查看更多完整答案,请扫码查看