第87页
- 第1页
- 第2页
- 第3页
- 第4页
- 第5页
- 第6页
- 第7页
- 第8页
- 第9页
- 第10页
- 第11页
- 第12页
- 第13页
- 第14页
- 第15页
- 第16页
- 第17页
- 第18页
- 第19页
- 第20页
- 第21页
- 第22页
- 第23页
- 第24页
- 第25页
- 第26页
- 第27页
- 第28页
- 第29页
- 第30页
- 第31页
- 第32页
- 第33页
- 第34页
- 第35页
- 第36页
- 第37页
- 第38页
- 第39页
- 第40页
- 第41页
- 第42页
- 第43页
- 第44页
- 第45页
- 第46页
- 第47页
- 第48页
- 第49页
- 第50页
- 第51页
- 第52页
- 第53页
- 第54页
- 第55页
- 第56页
- 第57页
- 第58页
- 第59页
- 第60页
- 第61页
- 第62页
- 第63页
- 第64页
- 第65页
- 第66页
- 第67页
- 第68页
- 第69页
- 第70页
- 第71页
- 第72页
- 第73页
- 第74页
- 第75页
- 第76页
- 第77页
- 第78页
- 第79页
- 第80页
- 第81页
- 第82页
- 第83页
- 第84页
- 第85页
- 第86页
- 第87页
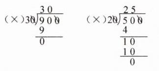
5. 下面的计算正确吗?把错误的改正过来。

答案:
6. 选数组成除法算式。

270÷90=3(答案不唯一)
1800÷60=30
800÷4=200
1600÷40=40
270÷90=3(答案不唯一)
1800÷60=30
800÷4=200
1600÷40=40
答案:
270÷90=3(答案不唯一)
1800÷60=30
800÷4=200
1600÷40=40
1800÷60=30
800÷4=200
1600÷40=40
7. 利用商不变的规律,笔算下面各题。

答案:
31……30 4 竖式略。
8. 解决问题。
(1) 一辆汽车$5小时行驶300$千米,照这样的速度,$9$小时能行驶多少千米?
(2) 运输队有$840$千克汽油,用了$15$天,还剩$240$千克。照这样计算,剩下的汽油还可以用几天?
(3) 客车每小时行驶$60$千米,货车每小时行驶$50$千米,客车和货车同时从距离深圳$360$千米的某地出发,当客车到达深圳时,货车离深圳还有多少千米?
(1) 一辆汽车$5小时行驶300$千米,照这样的速度,$9$小时能行驶多少千米?
(2) 运输队有$840$千克汽油,用了$15$天,还剩$240$千克。照这样计算,剩下的汽油还可以用几天?
(3) 客车每小时行驶$60$千米,货车每小时行驶$50$千米,客车和货车同时从距离深圳$360$千米的某地出发,当客车到达深圳时,货车离深圳还有多少千米?
答案:
(1)300÷5=60(千米/时)
60×9=540(千米)
(2)840-240=600(千克)
600÷15=40(千克/天)
240÷40=6(天)
(3)360÷60=6(小时)
360-50×6=60(千米)
(1)300÷5=60(千米/时)
60×9=540(千米)
(2)840-240=600(千克)
600÷15=40(千克/天)
240÷40=6(天)
(3)360÷60=6(小时)
360-50×6=60(千米)
查看更多完整答案,请扫码查看