2025年通成学典课时作业本八年级数学上册苏科版宿迁专版
注:目前有些书本章节名称可能整理的还不是很完善,但都是按照顺序排列的,请同学们按照顺序仔细查找。练习册 2025年通成学典课时作业本八年级数学上册苏科版宿迁专版 答案主要是用来给同学们做完题方便对答案用的,请勿直接抄袭。
第98页
- 第4页
- 第5页
- 第6页
- 第7页
- 第8页
- 第9页
- 第10页
- 第11页
- 第12页
- 第13页
- 第14页
- 第15页
- 第16页
- 第17页
- 第18页
- 第19页
- 第20页
- 第21页
- 第22页
- 第23页
- 第24页
- 第25页
- 第26页
- 第27页
- 第28页
- 第29页
- 第30页
- 第31页
- 第32页
- 第33页
- 第34页
- 第35页
- 第36页
- 第37页
- 第38页
- 第39页
- 第40页
- 第41页
- 第42页
- 第43页
- 第44页
- 第45页
- 第46页
- 第47页
- 第48页
- 第49页
- 第50页
- 第51页
- 第52页
- 第53页
- 第54页
- 第55页
- 第56页
- 第57页
- 第58页
- 第59页
- 第60页
- 第61页
- 第62页
- 第63页
- 第64页
- 第65页
- 第66页
- 第67页
- 第68页
- 第69页
- 第70页
- 第71页
- 第72页
- 第73页
- 第74页
- 第75页
- 第76页
- 第77页
- 第78页
- 第79页
- 第80页
- 第81页
- 第82页
- 第83页
- 第84页
- 第85页
- 第86页
- 第87页
- 第88页
- 第89页
- 第90页
- 第91页
- 第92页
- 第93页
- 第94页
- 第95页
- 第96页
- 第97页
- 第98页
- 第99页
- 第100页
- 第101页
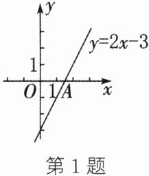
1. (2024·青海)如图,一次函数$y= 2x-3$的图象与x轴相交于点A,则点A关于y轴的对称点是 ( )

A.$(-\frac {3}{2},0)$
B.$(\frac {3}{2},0)$
C.$(0,3)$
D.$(0,-3)$
A.$(-\frac {3}{2},0)$
B.$(\frac {3}{2},0)$
C.$(0,3)$
D.$(0,-3)$
答案:
A
2. (1)已知点$P(a,2a-2)在直线y= x$上,则a的值为______;
(2)(2023·广西)若一次函数$y= kx+3的图象经过点(2,5)$,则k的值为______.
(2)(2023·广西)若一次函数$y= kx+3的图象经过点(2,5)$,则k的值为______.
答案:
(1) 2
(2) 1
(1) 2
(2) 1
3. 直线$y= -2x-6$与x轴的交点坐标是______,与y轴的交点坐标是______.
答案:
(-3,0) (0,-6)
4. (2024·包头)在平面直角坐标系中,若一次函数的图象经过第一、二、三象限,请写出一个符合该条件的一次函数的表达式:______.
答案:
答案不唯一,如 y=x+1
5. 分别在平面直角坐标系中画出下面一次函数的图象:
(1)$y= -2x-1$;
(2)$y= \frac {1}{2}x-2$.
(1)$y= -2x-1$;
(2)$y= \frac {1}{2}x-2$.
答案:
(1) 如图①所示
(2) 如图②所示
(1) 如图①所示
(2) 如图②所示
7. (2024·泗阳期末)若点$P(m,n)在直线y= 2x+1$上,则$3-n+2m$的值为 ( )
A.4
B.-4
C.2
D.-2
A.4
B.-4
C.2
D.-2
答案:
C
查看更多完整答案,请扫码查看