2025年作业本浙江教育出版社七年级数学上册浙教版


注:目前有些书本章节名称可能整理的还不是很完善,但都是按照顺序排列的,请同学们按照顺序仔细查找。练习册 2025年作业本浙江教育出版社七年级数学上册浙教版 答案主要是用来给同学们做完题方便对答案用的,请勿直接抄袭。



《2025年作业本浙江教育出版社七年级数学上册浙教版》

6. 已知$\frac{x-1}{2}与\frac{1}{3}$互为倒数,则x的值是
7
答案: 7
7.当m取何值时,代数式$\frac{m+1}{3}的值比\frac{3m+1}{2}$的值小1?
答案: $\frac{m+1}{3}=\frac{3m+1}{2}-1$,解得$m=\frac{5}{7}$
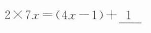
8.在解方程$\frac{7x}{3}$= $\frac{4.x-1}{6}$+1时,第一步出现了错误:
解:2×7x= (4x-1)+1,
(1)请在相应的方框内用横线划出错误处。
(2)写出你的解答过程。
c创新思维
答案:
(1)(2)$x=\frac{1}{2}$
9.解方程:$\frac{1+x}{0.1}$-$\frac{0.4x-0.5}{0.2}$= $\frac{1}{2}$。你有哪些不同的解法?
答案: 方法一:将原方程化为$(10+10x)-\frac{4x-5}{2}=\frac{1}{2}$。去分母,得$2(10+10x)-(4x-5)=1$。去括号,得$20+20x-4x+5=1$。移项,合并同类项,得$16x=-24$。解得$x=-\frac{3}{2}$。方法二:去分母,得$20(1+x)-10(0.4x-0.5)=1$。去括号,得$20+20x-4x+5=1$。移项,合并同类项,得$16x=-24$。解得$x=-\frac{3}{2}$。

查看更多完整答案,请扫码查看

关闭