第51页
- 第1页
- 第2页
- 第3页
- 第4页
- 第5页
- 第6页
- 第7页
- 第8页
- 第9页
- 第10页
- 第11页
- 第12页
- 第13页
- 第14页
- 第15页
- 第16页
- 第17页
- 第18页
- 第19页
- 第20页
- 第21页
- 第22页
- 第23页
- 第24页
- 第25页
- 第26页
- 第27页
- 第28页
- 第29页
- 第30页
- 第31页
- 第32页
- 第33页
- 第34页
- 第35页
- 第36页
- 第37页
- 第38页
- 第39页
- 第40页
- 第41页
- 第42页
- 第43页
- 第44页
- 第45页
- 第46页
- 第47页
- 第48页
- 第49页
- 第50页
- 第51页
- 第52页
- 第53页
- 第54页
- 第55页
- 第56页
- 第57页
- 第58页
- 第59页
- 第60页
- 第61页
- 第62页
- 第63页
- 第64页
- 第65页
1. 在$◯$里填上“>”“<”或“=”。
$30×6$
$4×82$
$30×6$
>
$178$ $57×8$<
$485$ $23×5$=
$115$$4×82$
>
$320$ $9×61$>
$541$ $88×5$<
$540$
答案:
解析:本题考查了两位数乘一位数的计算及大小比较。
答案:$30×6 = 180$,$180>178$,所以$30×6>178$;
$57×8 = 456$,$456<485$,所以$57×8<485$;
$23×5 = 115$,所以$23×5 = 115$;
$4×82 = 328$,$328>320$,所以$4×82>320$;
$9×61 = 549$,$549>541$,所以$9×61>541$;
$88×5 = 440$,$440<540$,所以$88×5<540$。
答案:$30×6 = 180$,$180>178$,所以$30×6>178$;
$57×8 = 456$,$456<485$,所以$57×8<485$;
$23×5 = 115$,所以$23×5 = 115$;
$4×82 = 328$,$328>320$,所以$4×82>320$;
$9×61 = 549$,$549>541$,所以$9×61>541$;
$88×5 = 440$,$440<540$,所以$88×5<540$。
2. 下面的计算正确吗?(正确的画“√”,错误的画“×”,并改正)


×
$288÷39=7\cdots\cdots15$×
$370÷62=5\cdots\cdots60$
答案:
解析:本题可根据整数除法的运算法则来判断计算是否正确,若不正确则进行改正。
第一小题:$288÷39$
判断对错:
原计算中商$7$与$39$相乘得$273$,而$288 - 273 = 15$,余数为$15$,但原计算余数为$8$,所以原计算错误。
改正:
×$288÷39 = 7\cdots\cdots15$
×$370÷62 = 5\cdots\cdots60$
第一小题:$288÷39$
判断对错:
原计算中商$7$与$39$相乘得$273$,而$288 - 273 = 15$,余数为$15$,但原计算余数为$8$,所以原计算错误。
改正:
×$288÷39 = 7\cdots\cdots15$
×$370÷62 = 5\cdots\cdots60$
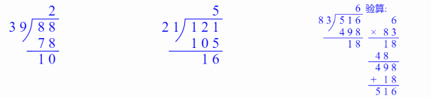
3. 列竖式计算,带“★”的题要验算。
$88÷39=$
$72÷18=$
$88÷39=$
2……10
$121÷21=$5……16
★$516÷83=$6
$72÷18=$
4
$305÷57=$5……20
★$690÷77=$8……74
答案:
88÷39=2……10
121÷21=5……16
★516÷83=6

72÷18=4
305÷57=5……20
★690÷77=8……74

88÷39=2……10
121÷21=5……16
★516÷83=6
72÷18=4
305÷57=5……20
★690÷77=8……74
4. 制作一副中国象棋需要32枚,现在有242枚,最多能制作几副中国象棋?还剩几枚?

答案:
解析:本题考查了利用除法运算来解决实际问题,涉及到有余数的除法,关键在于明确商就是能制作的中国象棋副数,余数就是剩余的棋子数。
答案:$242÷32 = 7$(副)$\cdots\cdots18$(枚)
答:最多能制作$7$副中国象棋,还剩$18$枚。
答案:$242÷32 = 7$(副)$\cdots\cdots18$(枚)
答:最多能制作$7$副中国象棋,还剩$18$枚。
5. 王叔叔装了260箱面包,送了28家零售店后,还剩下8箱。平均每家零售店送了多少箱面包?
答案:
解析:本题考查的是利用四则运算解决实际问题。
首先,需要确定王叔叔送出去的面包总数。
王叔叔总共装了260箱面包,送完28家零售店后还剩8箱。
那么送出去的面包总数就是:
260 - 8 = 252(箱)。
接下来,要计算平均每家零售店送了多少箱面包。
由于总共送了28家零售店,所以平均每家送的箱数为:
252 ÷ 28 = 9(箱)。
答案:平均每家零售店送了9箱面包。
首先,需要确定王叔叔送出去的面包总数。
王叔叔总共装了260箱面包,送完28家零售店后还剩8箱。
那么送出去的面包总数就是:
260 - 8 = 252(箱)。
接下来,要计算平均每家零售店送了多少箱面包。
由于总共送了28家零售店,所以平均每家送的箱数为:
252 ÷ 28 = 9(箱)。
答案:平均每家零售店送了9箱面包。
查看更多完整答案,请扫码查看