第46页
- 第1页
- 第2页
- 第3页
- 第4页
- 第5页
- 第6页
- 第7页
- 第8页
- 第9页
- 第10页
- 第11页
- 第12页
- 第13页
- 第14页
- 第15页
- 第16页
- 第17页
- 第18页
- 第19页
- 第20页
- 第21页
- 第22页
- 第23页
- 第24页
- 第25页
- 第26页
- 第27页
- 第28页
- 第29页
- 第30页
- 第31页
- 第32页
- 第33页
- 第34页
- 第35页
- 第36页
- 第37页
- 第38页
- 第39页
- 第40页
- 第41页
- 第42页
- 第43页
- 第44页
- 第45页
- 第46页
- 第47页
- 第48页
- 第49页
- 第50页
- 第51页
- 第52页
- 第53页
- 第54页
- 第55页
- 第56页
- 第57页
- 第58页
- 第59页
- 第60页
- 第61页
- 第62页
- 第63页
- 第64页
- 第65页
- 第66页
- 第67页
- 第68页
- 第69页
- 第70页
- 第71页
- 第72页
- 第73页
1. 用竖式计算。
(1)得数保留一位小数。
$8÷2.7$
$7.83÷0.33$
(2)得数保留两位小数。
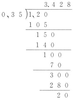
$1.2÷0.35$
$12÷1.8$
(1)得数保留一位小数。
$8÷2.7$
$7.83÷0.33$
(2)得数保留两位小数。
$1.2÷0.35$
$12÷1.8$
答案:
1.
(1)8÷2.7≈3.0 7.83÷0.33≈23.7
(2)1.2÷0.35≈3.43 12÷1.8≈6.67
1.
(1)8÷2.7≈3.0 7.83÷0.33≈23.7
(2)1.2÷0.35≈3.43 12÷1.8≈6.67
2. 用“四舍五入”法求商的近似值。
| | 保留一位小数 | 保留两位小数 | 保留三位小数 |
| $12.5÷0.6$ | | | |
| $1.5÷0.13$ | | | |
| $35.21÷8$ | | | |
| | 保留一位小数 | 保留两位小数 | 保留三位小数 |
| $12.5÷0.6$ | | | |
| $1.5÷0.13$ | | | |
| $35.21÷8$ | | | |
答案:
2. 保留一位小数 保留两位小数 保留三位小数
12.5÷0.6 20.8 20.83 20.833
1.5÷0.13 11.5 11.54 11.538
35.21÷8 4.4 4.40 4.401
12.5÷0.6 20.8 20.83 20.833
1.5÷0.13 11.5 11.54 11.538
35.21÷8 4.4 4.40 4.401
3.(传统文化)如图所示为我国传统服饰中的“盘长结”。李师傅在制作旗袍上的盘扣时,用3.1米长的红绳编织了6个大的长结,用0.73米长的红绳编织了2个小的长结。平均每个大的长结需要多少米红绳?平均每个小的长结需要多少米红绳?(得数保留一位小数)

答案:
3. 大长结:3.1÷6≈0.5(米)
小长结:0.73÷2≈0.4(米)
小长结:0.73÷2≈0.4(米)
4.(说理表达)计算$7.42÷38$(得数保留两位小数)时,明明说:“我除到百分位,看到余数是‘20’(如图),就知道答案是$7.42÷38\approx0.20$。”你认为明明的说法合理吗?为什么?

答案:
4. 我认为明明的说法合理 因为余数“20”大于除数38的一半,所以接下来商的千分位上的数会等于5或大于5,再按“四舍五入”法保留两位小数,即0.20(合理即可)
5.(易错题)猎豹是世界上跑得最快的动物,奔跑速度能达到110千米/时。你能算出猎豹平均每分钟大约奔跑多少千米吗?猎豹每跑1千米大约需要多少分钟?(得数保留两位小数)
答案:
5. 1时=60分 110÷60≈1.83(千米)
60÷110≈0.55(分)
易错分析:本题易错在分不清被除数和除数的量。求平均每分钟大约奔跑多少千米时,被除数是110千米(60分钟跑的路程);求每跑1千米大约需要多少分钟时,被除数是60分钟(奔跑110千米需要的时间)。
60÷110≈0.55(分)
易错分析:本题易错在分不清被除数和除数的量。求平均每分钟大约奔跑多少千米时,被除数是110千米(60分钟跑的路程);求每跑1千米大约需要多少分钟时,被除数是60分钟(奔跑110千米需要的时间)。
6.(生活应用)阳光小区开展节约用电活动,大维家上半年节约电费76.4元,小新家第一季度节约电费40元,第二季度节约电费42元。谁家平均每月节约的电费多?
答案:
6. 大维家:76.4÷6≈12.73(元)
小新家:40 + 42 = 82(元) 82÷6≈13.67(元)
12.73<13.67 小新家平均每月节约的电费多
小新家:40 + 42 = 82(元) 82÷6≈13.67(元)
12.73<13.67 小新家平均每月节约的电费多
7. 一个数除以0.6的商是两位小数,保留一位小数是2.0。这个数最大是( ),最小是( )。
答案:
7. 1.224 1.17 解析:商保留一位小数是2.0,且商是两位小数,则商最大是2.04,最小是1.95。根据“被除数 = 除数×商”,可以求出最大、最小的被除数。
查看更多完整答案,请扫码查看