第45页
- 第1页
- 第2页
- 第3页
- 第4页
- 第5页
- 第6页
- 第7页
- 第8页
- 第9页
- 第10页
- 第11页
- 第12页
- 第13页
- 第14页
- 第15页
- 第16页
- 第17页
- 第18页
- 第19页
- 第20页
- 第21页
- 第22页
- 第23页
- 第24页
- 第25页
- 第26页
- 第27页
- 第28页
- 第29页
- 第30页
- 第31页
- 第32页
- 第33页
- 第34页
- 第35页
- 第36页
- 第37页
- 第38页
- 第39页
- 第40页
- 第41页
- 第42页
- 第43页
- 第44页
- 第45页
- 第46页
- 第47页
- 第48页
- 第49页
- 第50页
- 第51页
- 第52页
- 第53页
- 第54页
- 第55页
- 第56页
- 第57页
- 第58页
- 第59页
- 第60页
- 第61页
- 第62页
- 第63页
- 第64页
- 第65页
- 第66页
- 第67页
- 第68页
- 第69页
- 第70页
- 第71页
- 第72页
- 第73页
1. 仔细想,认真填。
(1)(算理理解)计算6.5÷0.13时,被除数和除数的小数点都要向右移动( )位,被除数的位数不够,要在被除数的末尾添上( )个0。
(2)在括号里填合适的数。
5.6÷0.5= ( )÷5
5.6÷0.05= ( )÷5
5.6÷0.005= ( )÷5
(1)(算理理解)计算6.5÷0.13时,被除数和除数的小数点都要向右移动( )位,被除数的位数不够,要在被除数的末尾添上( )个0。
(2)在括号里填合适的数。
5.6÷0.5= ( )÷5
5.6÷0.05= ( )÷5
5.6÷0.005= ( )÷5
答案:
1.
(1)两 1
(2)56 560 5600
(1)两 1
(2)56 560 5600
2. 用竖式计算,并验算。
2.1÷0.25
96÷0.64
139.1÷0.13
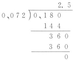
0.18÷0.072
2.1÷0.25
96÷0.64
139.1÷0.13
0.18÷0.072
答案:
2. 2.1÷0.25=8.4
验算:
96÷0.64=150
验算:
139.1÷0.13=1070
验算:
0.18÷0.072=2.5
验算:
2. 2.1÷0.25=8.4
96÷0.64=150
139.1÷0.13=1070
0.18÷0.072=2.5
3. 下面的计算对吗?对的画“√”,错的画“×”并改正。
(1)

$\begin{array}{r} 8\\ 0.18\enclose{longdiv}{14.4}\\ \underline{144}\\ 0\end{array} $
( )
(2)
$\begin{array}{r} 168\\ 0.04\enclose{longdiv}{67.2}\\ \underline{4}\\ 27\\ \underline{24}\\ 32\\ \underline{32}\\ 0\end{array} $
( )

(1)
$\begin{array}{r} 8\\ 0.18\enclose{longdiv}{14.4}\\ \underline{144}\\ 0\end{array} $
( )
(2)
$\begin{array}{r} 168\\ 0.04\enclose{longdiv}{67.2}\\ \underline{4}\\ 27\\ \underline{24}\\ 32\\ \underline{32}\\ 0\end{array} $
( )
答案:
3.
(1)×
(2)×
3.
(1)×
(2)×
4.(地域特色)永定土楼位于我国东南沿海的福建省龙岩市,是世界上独特的居民建筑。被称为“土楼王”的承启楼,最外圈高11.4m。平均每层高2.85m,最外圈有多少层?

答案:
4. 11.4÷2.85=4(层)
5. 学校秋季运动会工作小组设计了一个面积为9平方米的三角形宣传牌,如果高为2.5米,那么这条高对应的底是多少米?
答案:
5. 9×2=18(平方米) 18÷2.5=7.2(米)
6. 福安市某餐厅推出了一款餐厅机器人,身高为1.19m,与另一款会踢足球的拇指机器人相比,餐厅机器人的身高是拇指机器人的多少倍?

答案:
6. 1.19m=119cm 119÷3.4=35
7.(思维过程)飞飞在计算一道小数除法题时,不小心把除以0.45算成了乘0.45,结果是40.5。正确的答案是多少?
答案:
7. 40.5÷0.45=90 90÷0.45=200
解析:根据一个数乘0.45等于40.5,求出这个数,也就是被除数,再用被除数除以0.45求出正确的答案。
解析:根据一个数乘0.45等于40.5,求出这个数,也就是被除数,再用被除数除以0.45求出正确的答案。
查看更多完整答案,请扫码查看