6. 观察下列单项式:$ -x $,$ 3x^{2} $,$ -5x^{3} $,$ 7x^{4} $,…,$ -37x^{19} $,$ 39x^{20} $,…,回答下列问题.
(1)这组单项式的系数依次为多少?系数的规律是什么?
(2)这组单项式的次数的规律是什么?
(3)请你根据上面的归纳猜想出第 $ n $ 个单项式,并写出来.
(1)这组单项式的系数依次为多少?系数的规律是什么?
(2)这组单项式的次数的规律是什么?
(3)请你根据上面的归纳猜想出第 $ n $ 个单项式,并写出来.
答案:
解
(1)这组单项式的系数依次为-1,3,-5,7,…,-37,39,…;系数为奇数,且奇次单项式的系数为负数,故单项式的系数的符号是$(-1)^{n}$(n为正整数),系数的绝对值的规律是$2n-1$(n为正整数).
(2)这组单项式的次数的规律是从1开始的连续自然数,第n个单项式的次数为n.
(3)根据
(1)
(2)发现的规律,可猜想第n个单项式是$(-1)^{n}(2n-1)x^{n}$.
(1)这组单项式的系数依次为-1,3,-5,7,…,-37,39,…;系数为奇数,且奇次单项式的系数为负数,故单项式的系数的符号是$(-1)^{n}$(n为正整数),系数的绝对值的规律是$2n-1$(n为正整数).
(2)这组单项式的次数的规律是从1开始的连续自然数,第n个单项式的次数为n.
(3)根据
(1)
(2)发现的规律,可猜想第n个单项式是$(-1)^{n}(2n-1)x^{n}$.
1. 多项式的概念
几个____的____叫作多项式.
几个____的____叫作多项式.
答案:
单项式 和
2. 多项式的项与次数
(1)多项式中的每个单项式叫作多项式的____,不含字母的项叫作____. 注意多项式中的每一项都包含它前面的____.
(2)多项式里,次数____的项的次数,叫作这个多项式的次数.
(1)多项式中的每个单项式叫作多项式的____,不含字母的项叫作____. 注意多项式中的每一项都包含它前面的____.
(2)多项式里,次数____的项的次数,叫作这个多项式的次数.
答案:
(1)项 常数项 正负号
(2)最高
(1)项 常数项 正负号
(2)最高
3. 整式
____与____统称整式.
____与____统称整式.
答案:
单项式 多项式
1. 如图,某同学笔记本上的多项式未记录完整,若要补充完整这个多项式,横线上不能填写的是( )

A.$x^{3}$
B.$y^{3}$
C.$2^{3}$
D.$xyz$
A.$x^{3}$
B.$y^{3}$
C.$2^{3}$
D.$xyz$
答案:
C
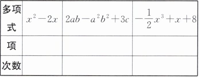
2. 填表:
|多项式| $x^{2}-2x$ | $2ab - a^{2}b^{2}+3c$ | $-\frac{1}{2}x^{3}+x + 8$ |

|项| | | |
|次数| | | |
|多项式| $x^{2}-2x$ | $2ab - a^{2}b^{2}+3c$ | $-\frac{1}{2}x^{3}+x + 8$ |
|项| | | |
|次数| | | |
答案:
第1行从左到右依次填:$x^{2},-2x$ $2ab,-a^{2}b^{2},3c$ $-\frac{1}{2}x^{3},x,8$
第2行从左到右依次填:2 4 3
第2行从左到右依次填:2 4 3
3. $a^{5}b - 4a^{2}b + b$的项为____,次数是____.
答案:
$a^{5}b,-4a^{2}b,b$ 6
查看更多完整答案,请扫码查看