2025年假日时光暑假作业阳光出版社八年级数学人教版
注:目前有些书本章节名称可能整理的还不是很完善,但都是按照顺序排列的,请同学们按照顺序仔细查找。练习册 2025年假日时光暑假作业阳光出版社八年级数学人教版 答案主要是用来给同学们做完题方便对答案用的,请勿直接抄袭。
1. 下列式子中,属于最简二次根式的是(
A.$\sqrt{9}$
B.$\sqrt{7}$
C.$\sqrt{20}$
D.$\sqrt{\frac{1}{3}}$
B
)A.$\sqrt{9}$
B.$\sqrt{7}$
C.$\sqrt{20}$
D.$\sqrt{\frac{1}{3}}$
答案:
B
2. 下列计算不正确的是(
A.$\sqrt{5}-\sqrt{3}= \sqrt{2}$
B.$\sqrt{3}+2\sqrt{3}= 3\sqrt{3}$
C.$3\sqrt{5}×2\sqrt{3}= 6\sqrt{15}$
D.$\frac{3}{\sqrt{3}}= \sqrt{3}$
A
)A.$\sqrt{5}-\sqrt{3}= \sqrt{2}$
B.$\sqrt{3}+2\sqrt{3}= 3\sqrt{3}$
C.$3\sqrt{5}×2\sqrt{3}= 6\sqrt{15}$
D.$\frac{3}{\sqrt{3}}= \sqrt{3}$
答案:
A
3. 计算$\sqrt{8}×\sqrt{\frac{1}{2}}+(\sqrt{2})^{0}$的结果(
A.$2+\sqrt{2}$
B.$\sqrt{2}+1$
C.3
D.5
C
)A.$2+\sqrt{2}$
B.$\sqrt{2}+1$
C.3
D.5
答案:
C
4. 化简$\sqrt{2}+(\sqrt{2}-1)$的结果是(
A.$2\sqrt{2}-1$
B.$2-\sqrt{2}$
C.$1-\sqrt{2}$
D.$2+\sqrt{2}$
A
)A.$2\sqrt{2}-1$
B.$2-\sqrt{2}$
C.$1-\sqrt{2}$
D.$2+\sqrt{2}$
答案:
A
5. $\sqrt{32}×\sqrt{\frac{1}{2}}+\sqrt{2}×\sqrt{5}$的结果估计在(
A.6至7之间
B.7至8之间
C.8至9之间
D.9至10之间
B
)A.6至7之间
B.7至8之间
C.8至9之间
D.9至10之间
答案:
B
6. 若最简二次根式$\sqrt{b^{2}+2b+2}与\sqrt{3+2b}$是同类二次根式,则$b$的值是(
A.0
B.1
C.-1
D.1或-1
B
)A.0
B.1
C.-1
D.1或-1
答案:
B
7. 若$x-y= \sqrt{2}-1,xy= \sqrt{2}$,则代数式$(x-1)\cdot(y+1)$的值等于(
A.$2\sqrt{2}+2$
B.$2\sqrt{2}-2$
C.$2\sqrt{2}$
D.2
B
)A.$2\sqrt{2}+2$
B.$2\sqrt{2}-2$
C.$2\sqrt{2}$
D.2
答案:
B
8. 已知$m= 1+\sqrt{2},n= 1-\sqrt{2}$,且$(7m^{2}-14m+a)(3n^{2}-6n-7)= 8$,则$a$的值等于(
A.-5
B.5
C.-9
D.9
C
)A.-5
B.5
C.-9
D.9
答案:
C
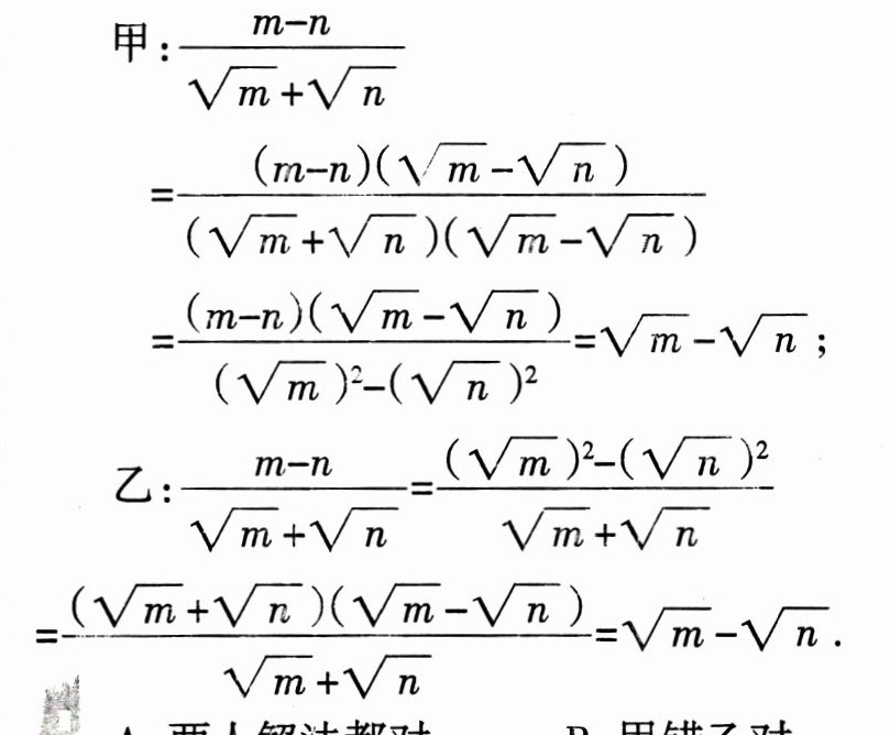
9. 在化简$\frac{m-n}{\sqrt{m}+\sqrt{n}}$时,甲、乙两位同学的解答如下,那么两人的解法(
A.两人解法都对
B.甲错乙对
C.甲对乙错
D.两人都错
A
)A.两人解法都对
B.甲错乙对
C.甲对乙错
D.两人都错
答案:
A
10. 写出一个与$\sqrt{3}$是同类二次根式的最简二次根式
$ 2\sqrt{3} $ (答案不唯一)
.
答案:
$ 2\sqrt{3} $ (答案不唯一)
11. 把$(a-2)\sqrt{\frac{1}{2-a}}$根号外的因式(a-2)移到根号内得
$ -\sqrt{2 - a} $
.
答案:
$ -\sqrt{2 - a} $
12. 已知$y= \sqrt{8-x}+\sqrt{x-8}+\frac{1}{2}$,则$\sqrt{\frac{x}{y}+\frac{y}{x}+2}-\sqrt{\frac{x}{y}+\frac{y}{x}-2}$的值为____
$\frac{1}{2}$
.
答案:
$ \frac{1}{2} $
13. 因实际需要,用钢材焊制三个面积分别为$2m^{2},18m^{2},32m^{2}$的正方形框架,则需准备的钢材的总长度为
$32\sqrt{2}$
m.
答案:
$ 32\sqrt{2} $
14. 计算:$(\sqrt{24}-\sqrt{0.5}+2\sqrt{\frac{2}{3}})-(\sqrt{\frac{1}{8}}-\sqrt{6})$.
答案:
原式 $ = 2\sqrt{6} - \frac{1}{2}\sqrt{2} + \frac{2}{3}\sqrt{6} - \frac{1}{4}\sqrt{2} + \sqrt{6} $
$ = (2 + \frac{2}{3} + 1) × \sqrt{6} + (-\frac{1}{2} - \frac{1}{4}) × \sqrt{2} $
$ = \frac{11}{3}\sqrt{6} - \frac{3}{4}\sqrt{2} $
$ = (2 + \frac{2}{3} + 1) × \sqrt{6} + (-\frac{1}{2} - \frac{1}{4}) × \sqrt{2} $
$ = \frac{11}{3}\sqrt{6} - \frac{3}{4}\sqrt{2} $
查看更多完整答案,请扫码查看