第63页
- 第1页
- 第2页
- 第3页
- 第4页
- 第5页
- 第6页
- 第7页
- 第8页
- 第9页
- 第10页
- 第11页
- 第12页
- 第13页
- 第14页
- 第15页
- 第16页
- 第17页
- 第18页
- 第19页
- 第20页
- 第21页
- 第22页
- 第23页
- 第24页
- 第25页
- 第26页
- 第27页
- 第28页
- 第29页
- 第30页
- 第31页
- 第32页
- 第33页
- 第34页
- 第35页
- 第36页
- 第37页
- 第38页
- 第39页
- 第40页
- 第41页
- 第42页
- 第43页
- 第44页
- 第45页
- 第46页
- 第47页
- 第48页
- 第49页
- 第50页
- 第51页
- 第52页
- 第53页
- 第54页
- 第55页
- 第56页
- 第57页
- 第58页
- 第59页
- 第60页
- 第61页
- 第62页
- 第63页
- 第64页
- 第65页
- 第66页
- 第67页
- 第68页
- 第69页
- 第70页
- 第71页
- 第72页
- 第73页
- 第74页
- 第75页
- 第76页
- 第77页
- 第78页
- 第79页
- 第80页
- 第81页
- 第82页
- 第83页
- 第84页
- 第85页
- 第86页
- 第87页
- 第88页
- 第89页
- 第90页
- 第91页
- 第92页
- 第93页
- 第94页
- 第95页
- 第96页
- 第97页
- 第98页
- 第99页
- 第100页
- 第101页
- 第102页
- 第103页
- 第104页
- 第105页
- 第106页
- 第107页
- 第108页
- 第109页
- 第110页
- 第111页
- 第112页
- 第113页
- 第114页
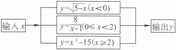
9. 根据下面的运算程序,回答问题:

(1)若输入的$x= -3$,计算输出$y$的值;
(2)若输入一个正数$x$时,输出$y的值为12$,则输入的$x$可能是多少?
解:
(1)
∵x=-3<0,
∴y=$\sqrt{5-(-3)}$=$\sqrt{8}$=2$\sqrt{2}$.
(2)若0≤x<2,则$\frac{8}{x-1}$=12.解得x=$\frac{5}{3}$.
综上所述,输入的x可能是$\frac{5}{3}$或3.
(1)若输入的$x= -3$,计算输出$y$的值;
(2)若输入一个正数$x$时,输出$y的值为12$,则输入的$x$可能是多少?
解:
(1)
∵x=-3<0,
∴y=$\sqrt{5-(-3)}$=$\sqrt{8}$=2$\sqrt{2}$.
(2)若0≤x<2,则$\frac{8}{x-1}$=12.解得x=$\frac{5}{3}$.
综上所述,输入的x可能是$\frac{5}{3}$或3.
答案:
解:
(1)
∵x=-3<0,
∴y=$\sqrt{5-(-3)}$=$\sqrt{8}$=2$\sqrt{2}$.
(2)若0≤x<2,则$\frac{8}{x-1}$=12.解得x=$\frac{5}{3}$.
综上所述,输入的x可能是$\frac{5}{3}$或3.
(1)
∵x=-3<0,
∴y=$\sqrt{5-(-3)}$=$\sqrt{8}$=2$\sqrt{2}$.
(2)若0≤x<2,则$\frac{8}{x-1}$=12.解得x=$\frac{5}{3}$.
综上所述,输入的x可能是$\frac{5}{3}$或3.
1. 某位同学感冒发烧住院治疗,护士为了较直观地了解这位同学当天24h的体温和时间的关系,可以选择的比较好的方法是(
A.列表法
B.图象法
C.解析法
D.以上均可
B
)A.列表法
B.图象法
C.解析法
D.以上均可
答案:
B
2. 下表列出了一项实验的统计数据,它表示皮球从一定高度落下时,下落高度a(cm)与弹跳高度b(cm)之间的关系,则能表示a,b间的函数关系的表达式为(

A.$a = 2b - 10$
B.$a = b^{2}$
C.$a = b + 20$
D.$a = b + 45$
A
)A.$a = 2b - 10$
B.$a = b^{2}$
C.$a = b + 20$
D.$a = b + 45$
答案:
A
3. 函数$y = \sqrt{x - 2}$的自变量x的取值范围是(
A.$x > 2$
B.$x < 2$
C.$x \geq 2$
D.$x \leq 2$
C
)A.$x > 2$
B.$x < 2$
C.$x \geq 2$
D.$x \leq 2$
答案:
C
4. 已知函数$y = \frac{3}{x - 2}$,则其自变量x的取值范围是
x≠2
.
答案:
x≠2
例1 求函数$y = \frac{\sqrt{4 + 2x}}{x - 1}$的自变量x的取值范围.
【点拨】根据二次根式的性质和分式有意义的条件可知,被开方数大于等于0,分式的分母不等于0.
【点拨】根据二次根式的性质和分式有意义的条件可知,被开方数大于等于0,分式的分母不等于0.
答案:
【解】根据二次根式的性质,得$4 + 2x \geq 0$,解得$x \geq -2$;
根据分式有意义的条件,得$x - 1 \neq 0$,解得$x \neq 1$;
综上,自变量$x$的取值范围是$x \geq -2$且$x \neq 1$。
根据分式有意义的条件,得$x - 1 \neq 0$,解得$x \neq 1$;
综上,自变量$x$的取值范围是$x \geq -2$且$x \neq 1$。
查看更多完整答案,请扫码查看