1. 选一选。
(1)下面的算式,结果为12的是(
A.(17-9)×2
B.7×8-34
C.7+40÷8
(2)把42-18= 24,24÷6= 4合并成一个综合算式是(
A.42-18÷6
B.(42-18)÷6
C.18-42÷6
(1)下面的算式,结果为12的是(
C
)。A.(17-9)×2
B.7×8-34
C.7+40÷8
(2)把42-18= 24,24÷6= 4合并成一个综合算式是(
B
)。A.42-18÷6
B.(42-18)÷6
C.18-42÷6
答案:
1.
(1)C 【提示】根据混合运算的顺序分别计算后选择即可。
(2)B 【提示】根据题意可知,先算出42减18的差,再用差除以6,所以42减18要加括号,据此解答即可。
(1)C 【提示】根据混合运算的顺序分别计算后选择即可。
(2)B 【提示】根据题意可知,先算出42减18的差,再用差除以6,所以42减18要加括号,据此解答即可。
2. 传统文化 纸鸢 风筝又称“纸鸢(yuān)”,是中国传统文化中极具代表性的手工艺品之一,距今已有两千多年的历史。小宇和爸爸妈妈去放风筝,他带100元买了如图所示的风筝各1个,还剩多少钱?
48元
39元

48元
39元
答案:
100 - 48 - 39 = 13(元)
【提示】用小宇带的钱数分别减去两个风筝的价钱,即可求出还剩下多少钱。
一题多解 连减问题
可以先求出买两个风筝一共花的总钱数,再用100元减去花的总钱数,即可求出剩下的钱数为100 - (48 + 39) = 13(元)。
【提示】用小宇带的钱数分别减去两个风筝的价钱,即可求出还剩下多少钱。
一题多解 连减问题
可以先求出买两个风筝一共花的总钱数,再用100元减去花的总钱数,即可求出剩下的钱数为100 - (48 + 39) = 13(元)。
3. 传统文化 糖人 糖人是一种中国传统手工技艺,以熬化的蔗糖或麦芽糖为主要原料,制作出人物、动物、花草等造型。在庙会上,王师傅制作了70个糖人,上午卖了27个,下午卖了38个。现在还剩多少个?(用两种方法计算)
答案:
方法一:70 - 27 - 38 = 5(个)
方法二:70 - (27 + 38) = 5(个)
【提示】用制作糖人的总个数连续减去上午和下午分别卖出的个数,即可求出现在还剩多少个。也可以用制作糖人的总个数减去一天卖出的总量,即可求出现在还剩多少个。
方法二:70 - (27 + 38) = 5(个)
【提示】用制作糖人的总个数连续减去上午和下午分别卖出的个数,即可求出现在还剩多少个。也可以用制作糖人的总个数减去一天卖出的总量,即可求出现在还剩多少个。
4. 实验班原创 应用意识 小猴有47根香蕉,送给松鼠14根后,它们俩的香蕉就同样多。松鼠原来有多少根香蕉?
答案:
47 - 14 - 14 = 19(根)
【提示】小猴送给松鼠14根后,它们俩的香蕉就同样多,说明小猴的香蕉比松鼠的香蕉多2个14根,据此解答即可。
【提示】小猴送给松鼠14根后,它们俩的香蕉就同样多,说明小猴的香蕉比松鼠的香蕉多2个14根,据此解答即可。
5. 48名同学排成长方形的队列做早操,小明在其中一行,他的左边有3人,右边有4人。同学们一共排成了几行?
答案:
48÷(3 + 4 + 1) = 6(行)
【提示】每行总人数为小明左、右两边人数加上小明,故每行共有3 + 4 + 1 = 8(人),再用总人数除以每行人数,即可得排成的行数为48÷8 = 6(行)。
【提示】每行总人数为小明左、右两边人数加上小明,故每行共有3 + 4 + 1 = 8(人),再用总人数除以每行人数,即可得排成的行数为48÷8 = 6(行)。
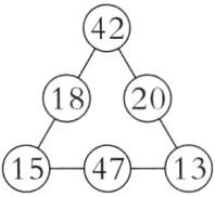
6. 实验班原创 数感 在○里填上合适的数,使每条线上三个数之和等于75。
(1)
(2)
]

(1)
(2)
]
答案:
(1)
【提示】可以先算右下角的数,75 - 42 - 20 = 13,再算下面中间的数,75 - 13 - 15 = 47,最后算左边中间的数,75 - 42 - 15 = 18。
(2)
【提示】先算左下角的数,75 - 23 - 18 = 34,再算右下角的数,75 - 34 - 14 = 27,再算右上角的数,75 - 27 - 30 = 18,最后算上面中间的数,75 - 23 - 18 = 34。
(1)
【提示】可以先算右下角的数,75 - 42 - 20 = 13,再算下面中间的数,75 - 13 - 15 = 47,最后算左边中间的数,75 - 42 - 15 = 18。
(2)
【提示】先算左下角的数,75 - 23 - 18 = 34,再算右下角的数,75 - 34 - 14 = 27,再算右上角的数,75 - 27 - 30 = 18,最后算上面中间的数,75 - 23 - 18 = 34。
查看更多完整答案,请扫码查看