第28页
- 第1页
- 第2页
- 第3页
- 第4页
- 第5页
- 第6页
- 第7页
- 第8页
- 第9页
- 第10页
- 第11页
- 第12页
- 第13页
- 第14页
- 第15页
- 第16页
- 第17页
- 第18页
- 第19页
- 第20页
- 第21页
- 第22页
- 第23页
- 第24页
- 第25页
- 第26页
- 第27页
- 第28页
- 第29页
- 第30页
- 第31页
- 第32页
- 第33页
- 第34页
- 第35页
- 第36页
- 第37页
- 第38页
- 第39页
- 第40页
- 第41页
- 第42页
- 第43页
- 第44页
- 第45页
- 第46页
- 第47页
- 第48页
- 第49页
- 第50页
- 第51页
- 第52页
- 第53页
- 第54页
- 第55页
- 第56页
- 第57页
- 第58页
- 第59页
- 第60页
- 第61页
- 第62页
- 第63页
- 第64页
- 第65页
- 第66页
- 第67页
- 第68页
- 第69页
- 第70页
- 第71页
- 第72页
- 第73页
- 第74页
- 第75页
- 第76页
- 第77页
- 第78页
- 第79页
- 第80页
- 第81页
- 第82页
- 第83页
- 第84页
- 第85页
- 第86页
- 第87页
- 第88页
- 第89页
- 第90页
- 第91页
- 第92页
- 第93页
1 做一朵绸花要用$\frac{3}{10}$米绸带。

(1)小芳做3朵这样的绸花,一共用绸带几分之几米?
在上图中涂色表示做3朵绸花所用的米数,再列出算式。
| 可以用加法计算。 | 求3个$\frac{3}{10}$的和,可以用乘法计算。 |

| $\frac{3}{10}+\frac{3}{10}+\frac{3}{10}$ | $\frac{3}{10}× 3或3× \frac{3}{10}$ |
你能算出$\frac{3}{10}× 3$的得数吗?
$\frac{3}{10}× 3= \frac{3}{10}+\frac{3}{10}+\frac{3}{10}= \frac{□ + □ + □}{10}= \frac{□ × □}{10}= \frac{(\quad)}{(\quad)}$(米)
答:小芳一共用绸带 米。
(2)小华做5朵这样的绸花,一共用绸带几分之几米?

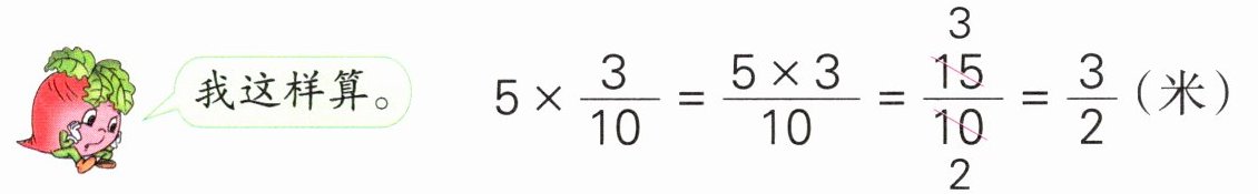
我这样算。$5× \frac{3}{10}= \frac{5× 3}{10}= \frac{15}{10}= \frac{3}{2}$(米)
可以先约分,再计算。
$5× \frac{3}{10}= \frac{5× 3}{10}= \frac{3}{2}$(米)

答:小华一共用绸带 米。
(1)小芳做3朵这样的绸花,一共用绸带几分之几米?
在上图中涂色表示做3朵绸花所用的米数,再列出算式。
| 可以用加法计算。 | 求3个$\frac{3}{10}$的和,可以用乘法计算。 |
| $\frac{3}{10}+\frac{3}{10}+\frac{3}{10}$ | $\frac{3}{10}× 3或3× \frac{3}{10}$ |
你能算出$\frac{3}{10}× 3$的得数吗?
$\frac{3}{10}× 3= \frac{3}{10}+\frac{3}{10}+\frac{3}{10}= \frac{□ + □ + □}{10}= \frac{□ × □}{10}= \frac{(\quad)}{(\quad)}$(米)
答:小芳一共用绸带 米。
(2)小华做5朵这样的绸花,一共用绸带几分之几米?
我这样算。$5× \frac{3}{10}= \frac{5× 3}{10}= \frac{15}{10}= \frac{3}{2}$(米)
可以先约分,再计算。
$5× \frac{3}{10}= \frac{5× 3}{10}= \frac{3}{2}$(米)
答:小华一共用绸带 米。
答案:
(1) $\frac{3}{10}×3 = \frac{3}{10}+\frac{3}{10}+\frac{3}{10} = \frac{3 + 3 + 3}{10} = \frac{3×3}{10} = \frac{9}{10}$
答:小芳一共用绸带 $\frac{9}{10}$ 米。
(2) $5×\frac{3}{10} = \frac{5×3}{10} = \frac{15}{10} = \frac{3}{2}$
答:小华一共用绸带 $\frac{3}{2}$ 米。
(1) $\frac{3}{10}×3 = \frac{3}{10}+\frac{3}{10}+\frac{3}{10} = \frac{3 + 3 + 3}{10} = \frac{3×3}{10} = \frac{9}{10}$
答:小芳一共用绸带 $\frac{9}{10}$ 米。
(2) $5×\frac{3}{10} = \frac{5×3}{10} = \frac{15}{10} = \frac{3}{2}$
答:小华一共用绸带 $\frac{3}{2}$ 米。
查看更多完整答案,请扫码查看