第26页
- 第1页
- 第2页
- 第3页
- 第4页
- 第5页
- 第6页
- 第7页
- 第8页
- 第9页
- 第10页
- 第11页
- 第12页
- 第13页
- 第14页
- 第15页
- 第16页
- 第17页
- 第18页
- 第19页
- 第20页
- 第21页
- 第22页
- 第23页
- 第24页
- 第25页
- 第26页
- 第27页
- 第28页
- 第29页
- 第30页
- 第31页
- 第32页
- 第33页
- 第34页
- 第35页
- 第36页
- 第37页
- 第38页
- 第39页
- 第40页
- 第41页
- 第42页
- 第43页
- 第44页
- 第45页
- 第46页
- 第47页
- 第48页
- 第49页
- 第50页
- 第51页
- 第52页
- 第53页
- 第54页
- 第55页
- 第56页
- 第57页
- 第58页
- 第59页
- 第60页
- 第61页
- 第62页
- 第63页
- 第64页
- 第65页
- 第66页
- 第67页
- 第68页
- 第69页
- 第70页
- 第71页
- 第72页
- 第73页
- 第74页
- 第75页
- 第76页
- 第77页
- 第78页
- 第79页
- 第80页
- 第81页
- 第82页
- 第83页
- 第84页
- 第85页
- 第86页
- 第87页
- 第88页
- 第89页
- 第90页
- 第91页
- 第92页
- 第93页
- 第94页
- 第95页
- 第96页
- 第97页
- 第98页
- 第99页
- 第100页
- 第101页
- 第102页
- 第103页
- 第104页
- 第105页
- 第106页
- 第107页
- 第108页
- 第109页
- 第110页
- 第111页
- 第112页
- 第113页
- 第114页
- 第115页
- 第116页
- 第117页
- 第118页
- 第119页
- 第120页
1. 如图,在四边形 $ABCD$ 中,$AC$ 垂直平分 $BD$,垂足为 $E$,下列结论不一定成立的是 (

A.$AB = AD$
B.$CA$ 平分 $\angle BCD$
C.$\triangle BEC \cong \triangle DEC$
D.$AB = BD$
D
)A.$AB = AD$
B.$CA$ 平分 $\angle BCD$
C.$\triangle BEC \cong \triangle DEC$
D.$AB = BD$
答案:
D
2. (锡山区月考)如图,$DE$ 是 $\triangle ABC$ 的边 $BC$ 的垂直平分线. 若 $AC = 8$,$AB = 6$,$BC = 4$,则 $\triangle ADB$ 的周长为 (

A.14
B.13
C.12
D.10
A
)A.14
B.13
C.12
D.10
答案:
A
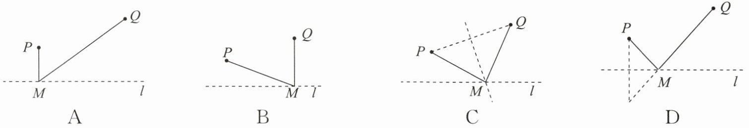
3. 直线 $l$ 是一条河,$P$,$Q$ 是 $l$ 同侧的两个村庄. 欲在 $l$ 上的 $M$ 处修建一个水泵站,向 $P$,$Q$ 两地供水. 现有如下四种铺设方案,图中实线表示铺设的管道,则 $M$ 处到 $P$,$Q$ 两地距离相等的方案是 (

C
)
答案:
C
4. 如图,在 $\triangle ABC$ 中,点 $D$ 在 $BC$ 上,且 $BC = BD + AD$,则点 $D$ 在
线段AC
的垂直平分线上.
答案:
线段AC
5. $\triangle ABC$ 三边的垂直平分线交于点 $O$,若点 $O$ 在 $\triangle ABC$ 的内部,则 $\triangle ABC$ 的形状为
锐角三角形
;若点 $O$ 在 $\triangle ABC$ 的外部,则 $\triangle ABC$ 的形状为钝角三角形
;若点 $O$ 在 $\triangle ABC$ 的边上,则 $\triangle ABC$ 的形状为直角三角形
.
答案:
锐角三角形 钝角三角形 直角三角形
6. 如图,在 $\triangle ABC$ 中,$DE$ 是 $AC$ 的垂直平分线.
(1)若 $AC = 6$,$\triangle ABD$ 的周长是 13,则 $\triangle ABC$ 的周长是
(2)若在 $\triangle ABC$ 中,$\angle B = 62^{\circ}$,$\angle C = 36^{\circ}$,求 $\angle BAD$ 的度数.

(1)若 $AC = 6$,$\triangle ABD$ 的周长是 13,则 $\triangle ABC$ 的周长是
19
;(2)若在 $\triangle ABC$ 中,$\angle B = 62^{\circ}$,$\angle C = 36^{\circ}$,求 $\angle BAD$ 的度数.
答案:
(1)19
(2)解:在△ABC中,∠B=62°,∠C=36°,
则∠BAC=180°−∠B−∠C=82°.
∵DE是AC的垂直平分线,
∴DA=DC,
∴∠DAC=∠C=36°,
∴∠BAD=∠BAC−∠DAC=82°−36°=46°.
(1)19
(2)解:在△ABC中,∠B=62°,∠C=36°,
则∠BAC=180°−∠B−∠C=82°.
∵DE是AC的垂直平分线,
∴DA=DC,
∴∠DAC=∠C=36°,
∴∠BAD=∠BAC−∠DAC=82°−36°=46°.
7. 有下列说法:①线段垂直平分线上的任意一点到线段两端的距离相等;②如果一个点到一条线段两端的距离相等,那么这个点一定在这条线段的垂直平分线上;③线段的垂直平分线是到线段两端距离相等的点的集合;④到一条线段两端距离不相等的点,不可能在这条线段的垂直平分线上. 其中正确的个数是 (
A.1
B.2
C.3
D.4
D
)A.1
B.2
C.3
D.4
答案:
D
查看更多完整答案,请扫码查看