2025年1课3练单元达标测试九年级物理上册苏科版
注:目前有些书本章节名称可能整理的还不是很完善,但都是按照顺序排列的,请同学们按照顺序仔细查找。练习册 2025年1课3练单元达标测试九年级物理上册苏科版 答案主要是用来给同学们做完题方便对答案用的,请勿直接抄袭。
第78页
- 第4页
- 第5页
- 第6页
- 第7页
- 第8页
- 第9页
- 第10页
- 第11页
- 第12页
- 第13页
- 第14页
- 第15页
- 第16页
- 第17页
- 第18页
- 第19页
- 第20页
- 第21页
- 第22页
- 第23页
- 第24页
- 第25页
- 第26页
- 第27页
- 第28页
- 第29页
- 第30页
- 第31页
- 第32页
- 第33页
- 第34页
- 第35页
- 第36页
- 第37页
- 第38页
- 第39页
- 第40页
- 第41页
- 第42页
- 第43页
- 第44页
- 第45页
- 第46页
- 第47页
- 第48页
- 第49页
- 第50页
- 第51页
- 第52页
- 第53页
- 第54页
- 第55页
- 第56页
- 第57页
- 第58页
- 第59页
- 第60页
- 第61页
- 第62页
- 第63页
- 第64页
- 第65页
- 第66页
- 第67页
- 第68页
- 第69页
- 第70页
- 第71页
- 第72页
- 第73页
- 第74页
- 第75页
- 第76页
- 第77页
- 第78页
- 第79页
- 第80页
- 第81页
- 第82页
- 第83页
- 第84页
- 第85页
- 第86页
- 第87页
- 第88页
- 第89页
- 第90页
- 第91页
- 第92页
- 第93页
- 第94页
- 第95页
- 第96页
- 第97页
- 第98页
- 第99页
- 第100页
- 第101页
- 第102页
11 (2024·四川绵阳游仙区期末)某同学在做"用滑动变阻器改变电流"的实验时,连接如图所示的电路,将滑动变阻器的滑片移动到最大阻值处,闭合开关S,发现小灯泡不亮,接下来的做法最合理的是( ).

A.断开开关S,更换灯泡重新实验
B.断开开关S,增加电池的节数重新实验
C.观察电流表示数
D.移动滑动变阻器滑片观察灯泡是否变亮
A.断开开关S,更换灯泡重新实验
B.断开开关S,增加电池的节数重新实验
C.观察电流表示数
D.移动滑动变阻器滑片观察灯泡是否变亮
答案:
C
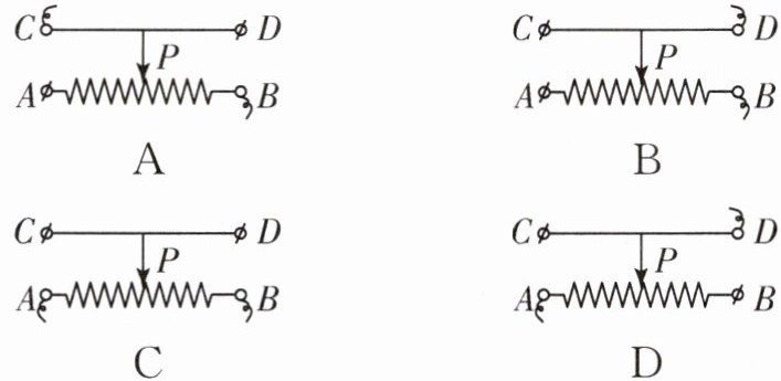
12 如图所示,当滑动变阻器的滑片P向左移动时,能使电路中的电阻变小的是( ).

答案:
D [解析]要使滑片 P 向左移动时,电路中的电阻变小,即接入电路的电阻丝的长度变短。滑动变阻器左下接线柱要连入电路,根据“一上一下”的接法,连入电路的接线柱该是 A 和 C 或 A 和 D,故 D 符合题意。
13 如图所示,电阻箱的示数是______Ω.

答案:
2035 [解析]电阻箱的读数为 R = 2×1000 Ω + 0×100 Ω + 3×10 Ω + 5×1 Ω = 2035 Ω。
14 小明利用图中所示的滑动变阻器控制小灯泡的亮暗,所用实验器材均完好.当他连接好电路后任意移动滑片,小灯泡亮度始终不变且较暗,滑动变阻器所接的接线柱是______和______.小明查找原因并纠正后,当导线1与C连接,导线2与______连接后,向______端移动滑片P,小灯泡会变亮.(前3空填"A""B""C"或"D")

答案:
C D A(或 B) 左
15 如图所示是一个可调节亮度的台灯和它的简易电路原理图,其中APB是一个______,当滑片P向A端移动时,连入电路中的电阻变______,电路中的电流变______.

答案:
变阻器 小 大
16 中考新考法 过程开放性实验 根据"滑动变阻器改变电路中的电流"的实验,请完成下列问题:
(1)请你根据图甲电路图连接好图乙实物电路(电流小于0.6 A).

(2)当电路中接入滑动变阻器后,在闭合开关S前,滑片P应调到最______(填"左"或"右")端.
(3)滑动变阻器的作用是______和______.
(4)在滑动变阻器的______或______接线柱同时接入电路的两种情况下,滑动变阻器不起变阻作用.
(5)请按照你的连接方法完成表格.

(1)请你根据图甲电路图连接好图乙实物电路(电流小于0.6 A).
(2)当电路中接入滑动变阻器后,在闭合开关S前,滑片P应调到最______(填"左"或"右")端.
(3)滑动变阻器的作用是______和______.
(4)在滑动变阻器的______或______接线柱同时接入电路的两种情况下,滑动变阻器不起变阻作用.
(5)请按照你的连接方法完成表格.
答案:
(1)如图所示
(2)左
(3)保护电路 改变电路中的电流
(4)A、B C、D
(5)变大 变暗 变小 变小 变亮 变大
(1)如图所示
(2)左
(3)保护电路 改变电路中的电流
(4)A、B C、D
(5)变大 变暗 变小 变小 变亮 变大
17 原创素养题 科学探究 小雨同学在学习使用滑动变阻器改变灯泡亮度的实验中,连接了如图所示的电路,下列分析正确的是( ).

A.若将A、C端接进电路,向D端移动滑片P,连入电路电阻变小
B.若将B、C端连入电路中,闭合开关前,滑片P应移动到最右端
C.若将A、B端连入电路中相当于一根导线
D.若将B、D端连入电路中,闭合开关,滑片P向左移,灯泡变暗
A.若将A、C端接进电路,向D端移动滑片P,连入电路电阻变小
B.若将B、C端连入电路中,闭合开关前,滑片P应移动到最右端
C.若将A、B端连入电路中相当于一根导线
D.若将B、D端连入电路中,闭合开关,滑片P向左移,灯泡变暗
答案:
D
查看更多完整答案,请扫码查看