27. 竖式计算,除法要保留两位小数。(每题2分,共8分)
$ 3.86 + 0.34 = $
$ 8.52 - 7.07 = $
$ 4.05 × 2.4 = $
$ 4.6 ÷ 2.2 \approx $
$ 3.86 + 0.34 = $
4.2
$ 8.52 - 7.07 = $
1.45
$ 4.05 × 2.4 = $
9.72
$ 4.6 ÷ 2.2 \approx $
2.09
答案:
4.2 1.45 9.72 2.09
28. 计算下面各题,能简算的要简算。(每题3分,共12分)
$ 17.68 - 3.49 + 2.32 - 5.51 $
$ 2.5 × 3.2 × 1.25 $
$ 3.18 × 101 - 3.18 $
$ 0.7 × [(2.05 - 0.85) ÷ 0.15] $
$ 17.68 - 3.49 + 2.32 - 5.51 $
$ 2.5 × 3.2 × 1.25 $
$ 3.18 × 101 - 3.18 $
$ 0.7 × [(2.05 - 0.85) ÷ 0.15] $
答案:
17.68 - 3.49 + 2.32 - 5.51
=(17.68 + 2.32) - (3.49 + 5.51)
=20 - 9
=11
2.5 × 3.2 × 1.25
=2.5 × (0.4 × 8) × 1.25
=(2.5 × 0.4) × (8 × 1.25)
=1 × 10
=10
3.18 × 101 - 3.18
=3.18 × (101 - 1)
=3.18 × 100
=318
0.7 × [(2.05 - 0.85) ÷ 0.15]
=0.7 × [1.2 ÷ 0.15]
=0.7 × 8
=5.6
=(17.68 + 2.32) - (3.49 + 5.51)
=20 - 9
=11
2.5 × 3.2 × 1.25
=2.5 × (0.4 × 8) × 1.25
=(2.5 × 0.4) × (8 × 1.25)
=1 × 10
=10
3.18 × 101 - 3.18
=3.18 × (101 - 1)
=3.18 × 100
=318
0.7 × [(2.05 - 0.85) ÷ 0.15]
=0.7 × [1.2 ÷ 0.15]
=0.7 × 8
=5.6
29. 根据要求在方格纸上画出图形。(每个方格的边长是1厘米)
(1)根据面积计算公式$ (3 + 5) × 2 ÷ 2 $,看看图中缺少什么,在图中把图形画完整。(2分)
(2)在图中画一个和它面积相等的平行四边形。(2分)

(1)根据面积计算公式$ (3 + 5) × 2 ÷ 2 $,看看图中缺少什么,在图中把图形画完整。(2分)
(2)在图中画一个和它面积相等的平行四边形。(2分)
答案:
(1)
(2)题如图示例:
(1)
(2)题如图示例:
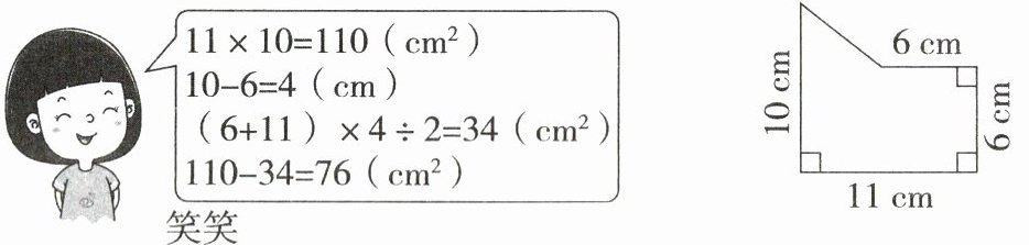
30. (1)请根据笑笑的算式在图中画出她的解题思路。(1分)
(2)请你用其他方法计算出这个图形的面积。(3分)

(2)请你用其他方法计算出这个图形的面积。(3分)
答案:
(1)
(2)示例:11 - 6 = 5(厘米)
(6 + 10)×5÷2 + 6×6 = 76(平方厘米)
(1)
(2)示例:11 - 6 = 5(厘米)
(6 + 10)×5÷2 + 6×6 = 76(平方厘米)
31. 小明想买一本定价19.8元的《科学探秘》,可是他带的钱还差2.8元,于是他买了本定价为11.7元的《故事王国》,还剩下多少元? (5分)
答案:
19.8 - 2.8 = 17(元)
17 - 11.7 = 5.3(元)
17 - 11.7 = 5.3(元)
查看更多完整答案,请扫码查看