第40页
- 第1页
- 第2页
- 第3页
- 第4页
- 第5页
- 第6页
- 第7页
- 第8页
- 第9页
- 第10页
- 第11页
- 第12页
- 第13页
- 第14页
- 第15页
- 第16页
- 第17页
- 第18页
- 第19页
- 第20页
- 第21页
- 第22页
- 第23页
- 第24页
- 第25页
- 第26页
- 第27页
- 第28页
- 第29页
- 第30页
- 第31页
- 第32页
- 第33页
- 第34页
- 第35页
- 第36页
- 第37页
- 第38页
- 第39页
- 第40页
- 第41页
- 第42页
- 第43页
- 第44页
- 第45页
- 第46页
- 第47页
- 第48页
- 第49页
- 第50页
- 第51页
- 第52页
- 第53页
- 第54页
- 第55页
- 第56页
- 第57页
- 第58页
- 第59页
- 第60页
- 第61页
- 第62页
- 第63页
- 第64页
- 第65页
- 第66页
- 第67页
- 第68页
- 第69页
- 第70页
- 第71页
- 第72页
- 第73页
- 第74页
- 第75页
- 第76页
- 第77页
- 第78页
- 第79页
- 第80页
- 第81页
- 第82页
- 第83页
- 第84页
- 第85页
- 第86页
- 第87页
- 第88页
- 第89页
- 第90页
- 第91页
- 第92页
- 第93页
- 第94页
- 第95页
- 第96页
- 第97页
- 第98页
- 第99页
- 第100页
- 第101页
- 第102页
- 第103页
- 第104页
- 第105页
- 第106页
- 第107页
- 第108页
- 第109页
- 第110页
- 第111页
- 第112页
- 第113页
- 第114页
- 第115页
- 第116页
- 第117页
12. 关于势能的概念,下列说法中正确的是 (
A.弹簧的势能一定比橡皮筋的势能大
B.甲物体比乙物体被举得高,甲物体的势能就一定比乙物体的势能大
C.钟表上的发条被拧得越紧,势能就越大
D.跳伞运动员匀速下落,势能不变
C
)A.弹簧的势能一定比橡皮筋的势能大
B.甲物体比乙物体被举得高,甲物体的势能就一定比乙物体的势能大
C.钟表上的发条被拧得越紧,势能就越大
D.跳伞运动员匀速下落,势能不变
答案:
C
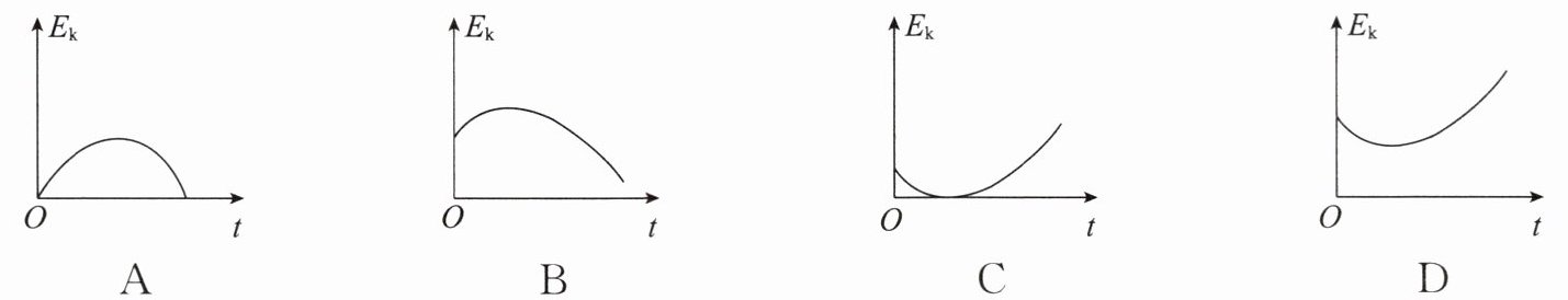
13. (2024·徐州期中)实心球是中考体育测试的一个重要项目,小明斜向上与水平方向成 $ 45^\circ $ 角抛出实心球. 从球离开手到最后落在地面的过程中,则动能 $ E_k $ 随时间 $ t $ 的变化关系(不计空气阻力)最接近图中的哪一个 (
A
B
C

D
)A
B
C
答案:
D
14. 一个抛出去的篮球动能约为 40J,行走的小牛动能也约为 40J,对此有如下几种议论,其中正确的是 (
A.小牛的质量比篮球大,但动能相等,说明动能与质量无关
B.因为小牛和篮球的动能相等,所以小牛的速度和篮球的速度也相等
C.动能与质量和速度都有关,小牛的质量比篮球大,但速度比篮球小,所以动能差不多大
D.因为小牛的质量比篮球大得多,所以它们的动能不可能相等
C
)A.小牛的质量比篮球大,但动能相等,说明动能与质量无关
B.因为小牛和篮球的动能相等,所以小牛的速度和篮球的速度也相等
C.动能与质量和速度都有关,小牛的质量比篮球大,但速度比篮球小,所以动能差不多大
D.因为小牛的质量比篮球大得多,所以它们的动能不可能相等
答案:
C
15. 在“探究纸锥下落的快慢”的活动中,将纸锥从高处释放. 若纸锥竖直下落时受到的空气阻力随下落速度的增大而增大,则纸锥在空中竖直下落过程中,下列情形可能的是 (
A.动能先增大后不变
B.动能先增大后减小
C.动能保持不变
D.重力势能保持不变
A
)A.动能先增大后不变
B.动能先增大后减小
C.动能保持不变
D.重力势能保持不变
答案:
A
16. 原长为 $ l $ 的橡皮筋一端固定在 $ O $ 点,另一端悬挂一个小钢球,将小钢球从 $ O $ 点由静止释放,小钢球运动到 $ A $ 点后开始向上返回,$ O $、$ A $ 两点间的距离为 $ 2l $,如图所示. 则小钢球从 $ O $ 点运动到 $ A $ 点的过程中,其动能 $ E_k $ 随运动距离 $ s $ 变化的关系图像可能是 (

B
)
答案:
B
查看更多完整答案,请扫码查看