第13页
- 第1页
- 第2页
- 第3页
- 第4页
- 第5页
- 第6页
- 第7页
- 第8页
- 第9页
- 第10页
- 第11页
- 第12页
- 第13页
- 第14页
- 第15页
- 第16页
- 第17页
- 第18页
- 第19页
- 第20页
- 第21页
- 第22页
- 第23页
- 第24页
- 第25页
- 第26页
- 第27页
- 第28页
- 第29页
- 第30页
- 第31页
- 第32页
- 第33页
- 第34页
- 第35页
- 第36页
- 第37页
- 第38页
- 第39页
- 第40页
- 第41页
- 第42页
- 第43页
- 第44页
- 第45页
- 第46页
- 第47页
- 第48页
- 第49页
- 第50页
- 第51页
- 第52页
- 第53页
- 第54页
- 第55页
- 第56页
- 第57页
- 第58页
- 第59页
- 第60页
- 第61页
- 第62页
- 第63页
- 第64页
- 第65页
- 第66页
- 第67页
- 第68页
- 第69页
- 第70页
- 第71页
- 第72页
- 第73页
- 第74页
- 第75页
- 第76页
- 第77页
- 第78页
- 第79页
- 第80页
- 第81页
- 第82页
- 第83页
- 第84页
- 第85页
- 第86页
- 第87页
- 第88页
- 第89页
- 第90页
- 第91页
- 第92页
- 第93页
- 第94页
- 第95页
- 第96页
- 第97页
- 第98页
- 第99页
- 第100页
- 第101页
- 第102页
- 第103页
- 第104页
- 第105页
- 第106页
- 第107页
- 第108页
- 第109页
- 第110页
- 第111页
- 第112页
- 第113页
- 第114页
- 第115页
- 第116页
- 第117页
6. 如图所示,利用滑轮组将200N的重物匀速向上提升到2m高的平台上.
(1)画出滑轮组的绕线方式.
(2)绳子自由端向下移动的距离是多少?
(3)若实际拉力为110N,不计绳重及摩擦,则动滑轮的重力是多少?

(1)画出滑轮组的绕线方式.
(2)绳子自由端向下移动的距离是多少?
(3)若实际拉力为110N,不计绳重及摩擦,则动滑轮的重力是多少?
答案:
解:
(1) 由题图可以看出, 人站在地面拉动绳子, 因此绳子的拉动方向应向下, 因此确定自由端的绳子方向, 然后依次向内绕. 如答图所示.
(2) 由答图可知, $ n = 2 $, 则绳子自由端向下移动的距离 $ s = 2h = 2 × 2m = 4m $.
(3) 不计绳重及摩擦, 根据 $ F = \frac{1}{2}(G_{物} + G_{动}) $ 得 $ G_{动} = 2F - G_{物} = 2 × 110N - 200N = 20N $.
解:
(1) 由题图可以看出, 人站在地面拉动绳子, 因此绳子的拉动方向应向下, 因此确定自由端的绳子方向, 然后依次向内绕. 如答图所示.
(2) 由答图可知, $ n = 2 $, 则绳子自由端向下移动的距离 $ s = 2h = 2 × 2m = 4m $.
(3) 不计绳重及摩擦, 根据 $ F = \frac{1}{2}(G_{物} + G_{动}) $ 得 $ G_{动} = 2F - G_{物} = 2 × 110N - 200N = 20N $.
7. 用如图甲所示的滑轮组提升重250N的物体,已知拉力F为100N,不计绳重和摩擦,则动滑轮重为
50
N.如果物体上升1m,那么绳子自由端移动3
m.物体和绳子自由端的运动情况如图乙所示,反映绳子自由端运动的图线是A
(填“A”或“B”).
答案:
50 3 A
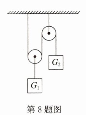
8. 如图所示,不计摩擦、滑轮重及绳重,重为$G_{1}$、$G_{2}$的两个物体现在处于静止状态,则$G_{1}:G_{2}=$

2:1
;若在$G_{1}和G_{2}$下方分别挂一同样重的砝码,则将出现$G_{1}$上升
(填“仍保持平衡”“$G_{1}$上升”或“$G_{1}$下降”);若$G_{1}= 10N$,动滑轮重2N,忽略绳重和绳与滑轮间的摩擦,要让整个系统处于静止状态,则$G_{2}=$6
N.
答案:
2:1 G1上升 6
9. 小明和小杰握住两根光滑的木棍,小华将绳子的一端系在其中一根木棍上,然后按如图所示依次将绳子绕过两根木棍,小明和小杰相距一定的距离握紧木棍站稳后,小华在图中A处拉绳子的另一端,用很小的力便能拉动他们手中的木棍.两根木棍和绳子组成的机械相当于

滑轮组
,小明受到的拉力小于
(填“大于”“小于”或“等于”)小杰受到的拉力.如果小华将绳子在木棍上又多绕几圈,在小华拉绳的力与上次相同时,小明和小杰受到的拉力将变大
(填“变大”“变小”或“不变”).
答案:
滑轮组 小于 变大
查看更多完整答案,请扫码查看