第87页
- 第2页
- 第3页
- 第4页
- 第5页
- 第6页
- 第7页
- 第8页
- 第9页
- 第10页
- 第11页
- 第12页
- 第13页
- 第14页
- 第15页
- 第16页
- 第17页
- 第18页
- 第19页
- 第20页
- 第21页
- 第22页
- 第23页
- 第24页
- 第25页
- 第26页
- 第27页
- 第28页
- 第29页
- 第30页
- 第31页
- 第32页
- 第33页
- 第34页
- 第35页
- 第36页
- 第37页
- 第38页
- 第39页
- 第40页
- 第41页
- 第42页
- 第43页
- 第44页
- 第45页
- 第46页
- 第47页
- 第48页
- 第49页
- 第50页
- 第51页
- 第52页
- 第53页
- 第54页
- 第55页
- 第56页
- 第57页
- 第58页
- 第59页
- 第60页
- 第61页
- 第62页
- 第63页
- 第64页
- 第65页
- 第66页
- 第67页
- 第68页
- 第69页
- 第70页
- 第71页
- 第72页
- 第73页
- 第74页
- 第75页
- 第76页
- 第77页
- 第78页
- 第79页
- 第80页
- 第81页
- 第82页
- 第83页
- 第84页
- 第85页
- 第86页
- 第87页
- 第88页
- 第89页
- 第90页
- 第91页
- 第92页
- 第93页
- 第94页
- 第95页
- 第96页
- 第97页
- 第98页
- 第99页
- 第100页
- 第101页
- 第102页
- 第103页
- 第104页
- 第105页
- 第106页
- 第107页
- 第108页
7. 决定元素种类的是原子的 (
A.质子数
B.中子数
C.电子数
D.最外层电子数
A
)A.质子数
B.中子数
C.电子数
D.最外层电子数
答案:
A
8. 下列微观粒子结构示意图中,表示原子的是 (
B
)
答案:
B
9. 下图所示为某种微观粒子的结构示意图。下列相关说法中,合理的是 (

A.该微观粒子原子核内有 11 个质子
B.该微观粒子在化学反应中易得到电子
C.一个该微观粒子带一个单位的正电荷
D.该微观粒子属于非金属元素
A
) A.该微观粒子原子核内有 11 个质子
B.该微观粒子在化学反应中易得到电子
C.一个该微观粒子带一个单位的正电荷
D.该微观粒子属于非金属元素
答案:
A
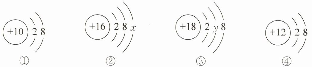
10. 有关下列 4 种微观粒子(结构示意图如下)的说法中正确的是 (

A.①④的化学性质不同
B.②③中的 x 和 y 一定相等
C.②可能是离子也可能是原子
D.①②③④均具有相对稳定的结构
AC
)A.①④的化学性质不同
B.②③中的 x 和 y 一定相等
C.②可能是离子也可能是原子
D.①②③④均具有相对稳定的结构
答案:
AC
11. 某原子结构如下图所示。下列说法中错误的是 (

A.该原子核电荷数为 11
B.该原子为 Mg
C.该原子在化学反应中易得到电子
D.该原子在化学反应中易失去电子
BC
)A.该原子核电荷数为 11
B.该原子为 Mg
C.该原子在化学反应中易得到电子
D.该原子在化学反应中易失去电子
答案:
BC
12. 构成氧气的微观粒子是
氧分子(或O₂)
,构成汞的微观粒子是汞原子(或Hg)
,构成氯化钠的微观粒子是钠离子(或Na⁺)
和氯离子(或Cl⁻)
。
答案:
氧分子(或O₂) 汞原子(或Hg) 钠离子(或Na⁺) 氯离子(或Cl⁻)
13. 用“分子”“原子”填空:氢气是由许多氢
分子
聚集而成的,保持氢气化学性质的最小微观粒子是氢分子
;点燃氢气时,氢气跟氧气化合生成水,其实质是氢分子
中的氢原子
与氧分子
中的氧原子
结合生成水分子
。可见,化学变化时,分子
分裂成原子
,原子
重新组合成新的分子。
答案:
分子 分子 分子 原子 分子 原子 分子 分子 原子 原子
14. 原子失去电子后,就带有
正
电荷,成为正
离子;原子得到电子后,就带有负
电荷,成为负
离子。
答案:
正 正 负 负
15. 从右图所示的原子结构示意图可知,该原子的核电荷数为

17
,第二层电子层上有8
个电子,最外层电子层上有7
个电子,在化学反应中该原子容易得到
(填“得到”或“失去”)电子。
答案:
17 8 7 得到
查看更多完整答案,请扫码查看