第77页
- 第1页
- 第2页
- 第3页
- 第4页
- 第5页
- 第6页
- 第7页
- 第8页
- 第9页
- 第10页
- 第11页
- 第12页
- 第13页
- 第14页
- 第15页
- 第16页
- 第17页
- 第18页
- 第19页
- 第20页
- 第21页
- 第22页
- 第23页
- 第24页
- 第25页
- 第26页
- 第27页
- 第28页
- 第29页
- 第30页
- 第31页
- 第32页
- 第33页
- 第34页
- 第35页
- 第36页
- 第37页
- 第38页
- 第39页
- 第40页
- 第41页
- 第42页
- 第43页
- 第44页
- 第45页
- 第46页
- 第47页
- 第48页
- 第49页
- 第50页
- 第51页
- 第52页
- 第53页
- 第54页
- 第55页
- 第56页
- 第57页
- 第58页
- 第59页
- 第60页
- 第61页
- 第62页
- 第63页
- 第64页
- 第65页
- 第66页
- 第67页
- 第68页
- 第69页
- 第70页
- 第71页
- 第72页
- 第73页
- 第74页
- 第75页
- 第76页
- 第77页
- 第78页
- 第79页
- 第80页
- 第81页
- 第82页
- 第83页
- 第84页
- 第85页
1 [2024 江苏盐城期中,中]若关于$x$的方程$\frac {1}{2}mx - \frac {5}{3} = \frac {1}{2}(x - \frac {4}{3})$有负整数解,则整数$m$的值为( )
A.$2$或$3$
B.$-1$或$2$
C.$0$或$-1$
D.$-1$或$0$或$2$或$3$
A.$2$或$3$
B.$-1$或$2$
C.$0$或$-1$
D.$-1$或$0$或$2$或$3$
答案:
C [解析]$\frac{1}{2}mx - \frac{5}{3}=\frac{1}{2}(x - \frac{4}{3})$,去括号,得$\frac{1}{2}mx - \frac{5}{3}=\frac{1}{2}x - \frac{2}{3}$,去分母,得$3mx - 10=3x - 4$,移项、合并同类项,得$3(m - 1)x=6$。因为方程有负整数解,且$m$为整数,所以$x=\frac{2}{m - 1}$,所以$m - 1=-1$或$-2$。当$m - 1=-1$时,$m = 0$;当$m - 1=-2$时,$m=-1$,故整数$m$的值为 0 或-1。故选 C。
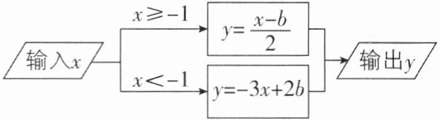
2 [2025 广东深圳期中,中]按如图所示的程序进行计算,若输入$x$的值是$3$,则输出$y$的值为$1$。若输出$y$的值为$3$,则输入$x$的值是( )

A.$7$
B.$-\frac {1}{3}$
C.$7$或$-\frac {1}{3}$
D.$-7$或$\frac {1}{3}$
A.$7$
B.$-\frac {1}{3}$
C.$7$或$-\frac {1}{3}$
D.$-7$或$\frac {1}{3}$
答案:
A [解析]因为输入$x$的值是 3,输出$y$的值为 1,所以$\frac{3 - b}{2}=1$,解得$b = 1$,所以当$x\geq-1$时,$y=\frac{x - 1}{2}$;当$x<-1$时,$y=-3x + 2$。当$\frac{x - 1}{2}=3$时,解得$x = 7\geq-1$,符合题意;当$-3x + 2=3$时,解得$x=-\frac{1}{3}>-1$,不符合题意。故选 A。
3 [2024 浙江宁波鄞州区调研,较难]方程$\frac {x}{3} + \frac {x}{15} + \frac {x}{35} + \cdots + \frac {x}{2005 × 2007} = 1$的解是$x =$( )
A.$\frac {2006}{2007}$
B.$\frac {2007}{2006}$
C.$\frac {2007}{1003}$
D.$\frac {1003}{2007}$
A.$\frac {2006}{2007}$
B.$\frac {2007}{2006}$
C.$\frac {2007}{1003}$
D.$\frac {1003}{2007}$
答案:
C [解析]$\frac{x}{3}+\frac{x}{15}+\frac{x}{35}+\cdots+\frac{x}{2005×2007}=1$,合并同类项,得$(\frac{1}{3}+\frac{1}{15}+\frac{1}{35}+\cdots+\frac{1}{2005×2007})x=1$,将方程变形,得$[\frac{1}{2}(1-\frac{1}{3})+\frac{1}{2}(\frac{1}{3}-\frac{1}{5})+\frac{1}{2}(\frac{1}{5}-\frac{1}{7})+\cdots+\frac{1}{2}(\frac{1}{2005}-\frac{1}{2007})]x=1$,方程两边都乘 2,得$(1-\frac{1}{3}+\frac{1}{3}-\frac{1}{5}+\frac{1}{5}-\frac{1}{7}+\cdots+\frac{1}{2005}-\frac{1}{2007})x=2$,化简,得$(1-\frac{1}{2007})x=2$,解得$x=\frac{2007}{1003}$。故选 C。
4 [2024 湖北恩施州质检,中]解方程$|\frac {1 - x}{2}| = 3$,且$x < 0$,则$x =$____。
答案:
-5 [解析]因为$x<0$,所以$1 - x>0$,所以$\frac{1 - x}{2}>0$,所以$\frac{1 - x}{2}=3$,解得$x=-5$。故答案为-5。
5 [2024 江西赣州调研,中]小明在对方程$\frac {x + 3}{3} - \frac {mx - 1}{6} = \frac {5 - x}{2}$去分母时,错误地得到了方程$2(x + 3) - mx - 1 = 3(5 - x)$,因而求得的解是$x = \frac {5}{2}$,则$m$的值为____,原方程的正确解为____。
答案:
1;$x = 2$ [解析]把$x=\frac{5}{2}$代入方程$2(x + 3)-mx - 1=3(5 - x)$,得$2×(\frac{5}{2}+3)-\frac{5}{2}m - 1=3×(5-\frac{5}{2})$,解得$m = 1$,将$m = 1$代入$\frac{x + 3}{3}-\frac{mx - 1}{6}=\frac{5 - x}{2}$,得$\frac{x + 3}{3}-\frac{x - 1}{6}=\frac{5 - x}{2}$,去分母,得$2(x + 3)-(x - 1)=3(5 - x)$,去括号,得$2x + 6 - x + 1=15 - 3x$,移项、合并同类项,得$4x = 8$,解得$x = 2$,则方程的正确解为$x = 2$。故答案为 1,$x = 2$。
6 [2024 新疆乌鲁木齐期末,较难]若关于$x$的方程$\frac {2kx + m}{3} = 2 + \frac {x - nk}{6}$,无论$k$取何值,它的解总是$x = 1$,那么$m + n =$____。
答案:
$\frac{5}{2}$ [解析]将$x = 1$代入$\frac{2kx + m}{3}=2+\frac{x - nk}{6}$,得$\frac{2k + m}{3}=2+\frac{1 - nk}{6}$,整理得$(4 + n)k=13 - 2m$。由题意可知,无论$k$取何值,$(4 + n)k=13 - 2m$恒成立,所以$n + 4 = 0$,$13 - 2m=0$,所以$n=-4$,$m=\frac{13}{2}$,所以$m + n=\frac{5}{2}$,故答案为$\frac{5}{2}$。
7 [2025 江西宜春校级期中,中](1)小玉在解方程$\frac {2x - 1}{3} = \frac {x + a}{2} - 1$去分母时,方程右边的“$-1$”没有乘$6$,求得的解是$x = 10$,试求$a$的值。
(2)当$m$为何值时,关于$x$的方程$5m + 3x = 1 + x$的解比关于$x$的方程$2x + m = 5m$的解大$2$?
(2)当$m$为何值时,关于$x$的方程$5m + 3x = 1 + x$的解比关于$x$的方程$2x + m = 5m$的解大$2$?
答案:
(1)由题意得$2(2x - 1)=3(x + a)-1$,去括号,得$4x - 2=3x + 3a - 1$,把$x = 10$代入,得$a = 3$。(2)方程$5m + 3x=1 + x$,解得$x=\frac{1 - 5m}{2}$,方程$2x + m=5m$,解得$x = 2m$。根据题意,得$\frac{1 - 5m}{2}-2m=2$,去分母,得$1 - 5m - 4m=4$,解得$m=-\frac{1}{3}$。
8 [2024 上海黄浦区期中,中]已知$(a + 2b)y^2 - y^{\frac {1}{3}a - \frac {1}{3}} = 3$是关于$y$的一元一次方程。
(1)求$a$,$b$的值;
(2)若$x = a$是关于$x$的方程$\frac {x + 2}{6} - \frac {x - 1}{2} + 3 = x - \frac {x - m}{3}$的解,求$|a - b - 2| - |b - m|$的值。
(1)求$a$,$b$的值;
(2)若$x = a$是关于$x$的方程$\frac {x + 2}{6} - \frac {x - 1}{2} + 3 = x - \frac {x - m}{3}$的解,求$|a - b - 2| - |b - m|$的值。
答案:
(1)因为$(a + 2b)y^{2}-y^{\frac{1}{3}a-\frac{1}{3}}=3$是关于$y$的一元一次方程,所以$\frac{1}{3}a-\frac{1}{3}=1$,$a + 2b=0$,解得$a = 4$,$b=-2$。(2)因为$a = 4$,$x = a$是关于$x$的方程$\frac{x + 2}{6}-\frac{x - 1}{2}+3=x-\frac{x - m}{3}$的解,所以$1-\frac{3}{2}+3=4-\frac{4 - m}{3}$,解得$m=-\frac{1}{2}$,所以$|a - b - 2|-|b - m|=|4 + 2 - 2|-|-2+\frac{1}{2}|=\frac{5}{2}$。
9 核心素养运算能力 [2024 广东深圳福田区期末,较难]定义:如果两个一元一次方程的解之和为$1$,我们就称这两个方程为“美好方程”。例如:方程$4x = 8$和$x + 1 = 0$为“美好方程”。
(1)若关于$x$的方程$3x + m = 0$与方程$4x - 2 = x + 10$是“美好方程”,求$m$的值;
(2)若“美好方程”的两个解的差为$8$,其中一个方程的解为$n$,求$n$的值;
(3)若关于$x$的一元一次方程$\frac {1}{2024}x + 3 = 2x + k$和$\frac {1}{2024}x + 1 = 0$是“美好方程”,求关于$y$的一元一次方程$\frac {1}{2024}(y + 1) = 2y + k - 1$的解。
(1)若关于$x$的方程$3x + m = 0$与方程$4x - 2 = x + 10$是“美好方程”,求$m$的值;
(2)若“美好方程”的两个解的差为$8$,其中一个方程的解为$n$,求$n$的值;
(3)若关于$x$的一元一次方程$\frac {1}{2024}x + 3 = 2x + k$和$\frac {1}{2024}x + 1 = 0$是“美好方程”,求关于$y$的一元一次方程$\frac {1}{2024}(y + 1) = 2y + k - 1$的解。
答案:
(1)因为$3x + m=0$,所以$x=-\frac{m}{3}$。因为$4x - 2=x + 10$,所以$x = 4$。因为关于$x$的方程$3x + m=0$与方程$4x - 2=x + 10$是“美好方程”,所以$4-\frac{m}{3}=1$,解得$m = 9$。(2)因为“美好方程”的两个解之和为 1,其中一个方程的解为$n$,所以另一个方程的解为$1 - n$。因为两个解的差为 8,所以$n-(1 - n)=8$或$1 - n - n=8$,所以$n=\frac{9}{2}$或$n=-\frac{7}{2}$。(3)因为$\frac{1}{2024}x + 1=0$,所以$x=-2024$。因为关于$x$的一元一次方程$\frac{1}{2024}x + 3=2x + k$和$\frac{1}{2024}x + 1=0$是“美好方程”,所以方程$\frac{1}{2024}x + 3=2x + k$的解为$x=1-(-2024)=2025$。因为关于$y$的一元一次方程$\frac{1}{2024}(y + 1)=2y + k - 1$可化为$\frac{1}{2024}(y + 1)+3=2(y + 1)+k$,所以$y + 1=2025$,所以$y=2024$。
查看更多完整答案,请扫码查看