第40页
- 第1页
- 第2页
- 第3页
- 第4页
- 第5页
- 第6页
- 第7页
- 第8页
- 第9页
- 第10页
- 第11页
- 第12页
- 第13页
- 第14页
- 第15页
- 第16页
- 第17页
- 第18页
- 第19页
- 第20页
- 第21页
- 第22页
- 第23页
- 第24页
- 第25页
- 第26页
- 第27页
- 第28页
- 第29页
- 第30页
- 第31页
- 第32页
- 第33页
- 第34页
- 第35页
- 第36页
- 第37页
- 第38页
- 第39页
- 第40页
- 第41页
- 第42页
- 第43页
- 第44页
- 第45页
- 第46页
- 第47页
- 第48页
- 第49页
- 第50页
- 第51页
- 第52页
- 第53页
- 第54页
- 第55页
- 第56页
- 第57页
- 第58页
- 第59页
- 第60页
- 第61页
- 第62页
- 第63页
- 第64页
- 第65页
- 第66页
- 第67页
- 第68页
- 第69页
- 第70页
- 第71页
- 第72页
- 第73页
- 第74页
- 第75页
- 第76页
- 第77页
- 第78页
- 第79页
- 第80页
- 第81页
- 第82页
- 第83页
- 第84页
- 第85页
一、选择题(本大题共7小题,每小题4分,共28分)
1[2024贵州中考]下列有理数中最小的数是( )
A.-2
B.0
C.2
D.4
1[2024贵州中考]下列有理数中最小的数是( )
A.-2
B.0
C.2
D.4
答案:
A 【解析】因为-2<0<2<4,所以最小的数是-2,故选A.
2[2024山东日照中考]交通运输部2024年4月发布的全国港口货物吞吐量数据显示,日照港2024年第一季度吞吐量为15493万吨,居全国主要港口第6位.将数据154930000用科学记数法表示为( )
$A.15.493×10^7 B.1.5493×10^8 C.0.15493×10^9 D.15493×10^4$
$A.15.493×10^7 B.1.5493×10^8 C.0.15493×10^9 D.15493×10^4$
答案:
B 【解析】154930000=1.5493×10⁸.故选B.
3[2025广东珠海期末]下列各组数中,互为倒数的是( )
A.-3与3
B.-3与|-3|
C.-3与$\frac{1}{3}$
D.-3与$-\frac{1}{3}$
A.-3与3
B.-3与|-3|
C.-3与$\frac{1}{3}$
D.-3与$-\frac{1}{3}$
答案:
D 【解析】因为-3×3≠1,所以-3和3不互为倒数,故A不符合题意;|-3|=3,因为-3×3≠1,所以-3和|-3|不互为倒数,故B不符合题意;因为-3×1/3≠1,所以-3和1/3不互为倒数,故C不符合题意;因为-3×(-1/3)=1,所以-3和-1/3互为倒数,故D符合题意.故选D.
4[2025安徽淮北期末]有理数a,b对应的点在数轴上的位置如图所示,则下列结论正确的是( )

A.a+b<0
B.$\frac{a}{b}$>0
C.a>b
D.a-b<0
A.a+b<0
B.$\frac{a}{b}$>0
C.a>b
D.a-b<0
答案:
D 【解析】由题图可知a<0<b,|a|<|b|,所以a+b>0,故A选项错误,不符合题意;a/b<0,故B选项错误,不符合题意;a<b,故C选项错误,不符合题意;a-b<0,故D选项正确,符合题意.故选D.
5[2025河南郑州期末]若|m|= 2,|n|= 3,且|m+n|= m+n,则$\frac{n}{m}$= ( )
A.$\frac{3}{2}$
B.$-\frac{3}{2}$
C.$\frac{3}{2}或-\frac{3}{2}$
D.$\frac{2}{3}或-\frac{2}{3}$
A.$\frac{3}{2}$
B.$-\frac{3}{2}$
C.$\frac{3}{2}或-\frac{3}{2}$
D.$\frac{2}{3}或-\frac{2}{3}$
答案:
C 【解析】因为|m|=2,|n|=3,所以m=±2,n=±3.因为|m+n|=m+n,所以m=2,n=3或m=-2,n=3.当m=2,n=3时,n/m=3/2;当m=-2,n=3时,n/m=3/-2=-3/2.故选C.
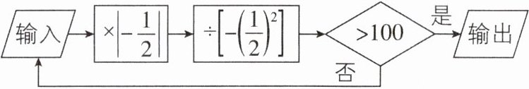
6按如图所示的程序进行计算,如果第一次输入的数是18,当结果不大于100时,就把结果作为输入的数再进行第二次运算,直到符合要求为止,则最后输出的结果为( )

A.72
B.144
C.288
D.576
A.72
B.144
C.288
D.576
答案:
C 【解析】把18输入,得18×|-1/2|÷[-(1/2)²]=18×1/2÷(-1/4)=9×(-4)=-36<100;把-36输入,得-36×|-1/2|÷[-(1/2)²]=-36×1/2÷(-1/4)=-18×(-4)=72<100;把72输入,得72×|-1/2|÷[-(1/2)²]=72×1/2÷(-1/4)=36×(-4)=-144<100;把-144输入,得-144×|-1/2|÷[-(1/2)²]=-144×1/2÷(-1/4)=-72×(-4)=288>100,所以最后输出的结果为288.
7小时候大家喜欢玩的幻方游戏,老师稍加创新改成了“幻圆”游戏,现在将-1,2,-3,4,-5,6,-7,8分别填入图中的圆圈内,使横、竖以及内外两圈上的4个数字之和都相等.老师已经帮助同学们完成了部分填空,则图中a+b的值为( )

A.-6或-3
B.-8或1
C.-1或-4
D.1或-1
A.-6或-3
B.-8或1
C.-1或-4
D.1或-1
答案:
A 【解析】如图,设内圈上的数为c,外圈上的数为d.因为(-1)+2+(-3)+4+(-5)+6+(-7)+8=4,横、竖以及内外两圈上的4个数字之和都相等,所以内外两圈的和都是2,横、竖的和也都是2.
由-7+6+b+8=2,得b=-5;由6+4+b+c=2,得c=-3;由a+c+4+d=2,得a+d=1.由题意可知,a和d代表数字为-1和2.当a=-1时,d=2,则a+b=-1+(-5)=-6;当a=2时,d=-1,则a+b=2+(-5)=-3.故选A.
A 【解析】如图,设内圈上的数为c,外圈上的数为d.因为(-1)+2+(-3)+4+(-5)+6+(-7)+8=4,横、竖以及内外两圈上的4个数字之和都相等,所以内外两圈的和都是2,横、竖的和也都是2.
由-7+6+b+8=2,得b=-5;由6+4+b+c=2,得c=-3;由a+c+4+d=2,得a+d=1.由题意可知,a和d代表数字为-1和2.当a=-1时,d=2,则a+b=-1+(-5)=-6;当a=2时,d=-1,则a+b=2+(-5)=-3.故选A.
二、填空题(本大题共5小题,每小题4分,共20分)
8[2025北京朝阳区期末]某校组织学生去劳动实践基地采摘苹果,并称重、封装.一箱苹果的标准质量为5kg,如果比标准质量多42g记作+42g,那么比标准质量少30g应记作______g.
8[2025北京朝阳区期末]某校组织学生去劳动实践基地采摘苹果,并称重、封装.一箱苹果的标准质量为5kg,如果比标准质量多42g记作+42g,那么比标准质量少30g应记作______g.
答案:
-30 【解析】如果比标准质量多42g记作+42g,那么比标准质量少30g应记作-30g.故答案为-30.
9[2025浙江温州期中]点A为数轴上表示-2的点,将点A沿着数轴向右移动7个单位长度后,再向左移动3个单位长度到点B,则点B表示的数为______.
答案:
2 【解析】根据数轴上点的移动规律可知-2+7-3=2,故点B表示的数为2.故答案为2.
10观察下列算式:$7^1= 7$,$7^2= 49$,$7^3= 343$,$7^4= 2401$,$7^5= 16807$,$7^6= 117649$,…,通过观察,用你发现的规律,写出$7^{2020}$的末位数字是______.
答案:
1 【解析】因为7ⁿ的末位数字是以7,9,3,1这样循环的,2020÷4=505,所以7²⁰²⁰的末位数字是1.
11[2024湖南衡阳调研]若|x+a|+|x+1|的最小值为3,则a的值为______.
答案:
-2或4 【解析】因为|x+a|+|x+1|表示数轴上x对应的点到-a对应的点与x对应的点到-1对应的点的距离之和,且其最小值为3,所以当x对应的点介于-a对应的点与-1对应的点之间时,|x+a|+|x+1|=3,所以-a对应的点与-1对应的点之间的距离为3,即|-a-(-1)|=3.当-a-(-1)=3时,解得a=-2;当-a-(-1)=-3时,解得a=4.故答案为-2或4.
12[2025重庆江北区质检]数学老师在黑板上写下了1,2,3,…,40这连续40个整数.全班正好有40个同学,老师依次邀请每一个同学来到黑板前进行如下操作:第一个同学把黑板上所有能被1整除的数改写成原数的相反数;第一个同学改写完后,第二个同学把此时黑板上的40个数中能被2整除的数改写成它的相反数;第二个同学操作完后,第三个同学再把此时黑板上所有能被3整除的数改写成它的相反数;…,以此类推,直到第40个同学在黑板上把前一个同学改写后的40个数中能被40整除的数改写成它的相反数,游戏结束.最后,黑板上出现的所有的负数的和为______.
答案:
-91 【解析】因为从1到40中,只有1,4,9,16,25,36含有奇数个因数,所以游戏结束后,黑板上出现的负数是-1,-4,-9,-16,-25,-36,所以(-1)+(-4)+(-9)+(-16)+(-25)+(-36)=-91.故答案为-91.
查看更多完整答案,请扫码查看