第90页
- 第1页
- 第2页
- 第3页
- 第4页
- 第5页
- 第6页
- 第7页
- 第8页
- 第9页
- 第10页
- 第11页
- 第12页
- 第13页
- 第14页
- 第15页
- 第16页
- 第17页
- 第18页
- 第19页
- 第20页
- 第21页
- 第22页
- 第23页
- 第24页
- 第25页
- 第26页
- 第27页
- 第28页
- 第29页
- 第30页
- 第31页
- 第32页
- 第33页
- 第34页
- 第35页
- 第36页
- 第37页
- 第38页
- 第39页
- 第40页
- 第41页
- 第42页
- 第43页
- 第44页
- 第45页
- 第46页
- 第47页
- 第48页
- 第49页
- 第50页
- 第51页
- 第52页
- 第53页
- 第54页
- 第55页
- 第56页
- 第57页
- 第58页
- 第59页
- 第60页
- 第61页
- 第62页
- 第63页
- 第64页
- 第65页
- 第66页
- 第67页
- 第68页
- 第69页
- 第70页
- 第71页
- 第72页
- 第73页
- 第74页
- 第75页
- 第76页
- 第77页
- 第78页
- 第79页
- 第80页
- 第81页
- 第82页
- 第83页
- 第84页
- 第85页
- 第86页
- 第87页
- 第88页
- 第89页
- 第90页
- 第91页
- 第92页
- 第93页
- 第94页
- 第95页
- 第96页
- 第97页
- 第98页
- 第99页
- 第100页
- 第101页
- 第102页
- 第103页
- 第104页
- 第105页
- 第106页
- 第107页
- 第108页
- 第109页
- 第110页
- 第111页
- 第112页
3. 正比例函数$y=kx(k≠0)$的函数值$y$随$x$的增大而增大,则一次函数$y=x+k$的图象大致是 (

A
)
答案:
A
4. 一次函数$y=3x+b(b≥0)$的图象一定不经过 (
A. 第一象限
B. 第二象限
C. 第三象限
D. 第四象限
D
)A. 第一象限
B. 第二象限
C. 第三象限
D. 第四象限
答案:
D
5. 下列一次函数中,$y$随$x$的增大而减小的是 (
①$y=-(2x-1)$;②$y=-\frac {1-x}{2}$;③$y=(2-\sqrt {3})x+1$;④$y=\frac {1}{3}(6-x)$.
A. ①和②
B. ②和③
C. ①和④
D. ③和④
C
)①$y=-(2x-1)$;②$y=-\frac {1-x}{2}$;③$y=(2-\sqrt {3})x+1$;④$y=\frac {1}{3}(6-x)$.
A. ①和②
B. ②和③
C. ①和④
D. ③和④
答案:
C
6. 将直线$y=-2x$沿着$y$轴向下平移3个单位长度得到直线$l$,则直线$l$的解析式是 (
A. $y=-2x+3$
B. $y=2x-3$
C. $y=2x+3$
D. $y=-2x-3$
D
)A. $y=-2x+3$
B. $y=2x-3$
C. $y=2x+3$
D. $y=-2x-3$
答案:
D
7. 已知$(x_{1},y_{1})$和$(x_{2},y_{2})$是直线$y=-3x+2$上的两点,且$x_{1}>x_{2}$,则$y_{1}$与$y_{2}$的大小关系是 (
A. $y_{1}>y_{2}$
B. $y_{1}<y_{2}$
C. $y_{1}=y_{2}$
D. 以上都有可能
B
)A. $y_{1}>y_{2}$
B. $y_{1}<y_{2}$
C. $y_{1}=y_{2}$
D. 以上都有可能
答案:
B
8. 已知一次函数$y=kx-k$过点$(-1,4)$,则下列结论正确的是 (
A. $y$随$x$的增大而增大
B. $k=2$
C. 直线过点$(1,0)$
D. 图象与坐标轴围成的三角形面积为2
C
)A. $y$随$x$的增大而增大
B. $k=2$
C. 直线过点$(1,0)$
D. 图象与坐标轴围成的三角形面积为2
答案:
C
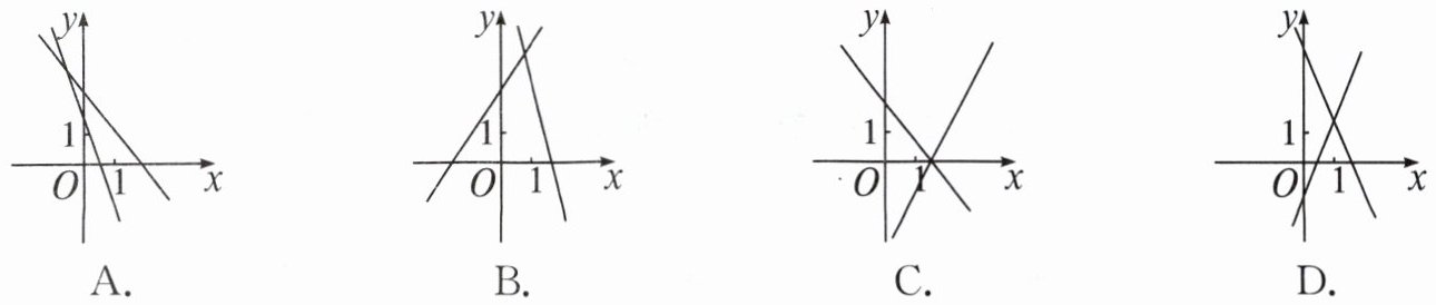
9. 在同一平面直角坐标系中,一次函数$y=ax+a^{2}$与$y=a^{2}x+a$的图象可能是 (

B
)
答案:
B
查看更多完整答案,请扫码查看