2025年暑假Happy假日七年级理科五四制
注:目前有些书本章节名称可能整理的还不是很完善,但都是按照顺序排列的,请同学们按照顺序仔细查找。练习册 2025年暑假Happy假日七年级理科五四制 答案主要是用来给同学们做完题方便对答案用的,请勿直接抄袭。
第87页
- 第1页
- 第2页
- 第3页
- 第4页
- 第5页
- 第6页
- 第7页
- 第8页
- 第9页
- 第10页
- 第11页
- 第12页
- 第13页
- 第14页
- 第15页
- 第16页
- 第17页
- 第18页
- 第19页
- 第20页
- 第21页
- 第22页
- 第23页
- 第24页
- 第25页
- 第26页
- 第27页
- 第28页
- 第29页
- 第30页
- 第31页
- 第32页
- 第33页
- 第34页
- 第35页
- 第36页
- 第37页
- 第38页
- 第39页
- 第40页
- 第41页
- 第42页
- 第43页
- 第44页
- 第45页
- 第46页
- 第47页
- 第48页
- 第49页
- 第50页
- 第51页
- 第52页
- 第53页
- 第54页
- 第55页
- 第56页
- 第57页
- 第58页
- 第59页
- 第60页
- 第61页
- 第62页
- 第63页
- 第64页
- 第65页
- 第66页
- 第67页
- 第68页
- 第69页
- 第70页
- 第71页
- 第72页
- 第73页
- 第74页
- 第75页
- 第76页
- 第77页
- 第78页
- 第79页
- 第80页
- 第81页
- 第82页
- 第83页
- 第84页
- 第85页
- 第86页
- 第87页
- 第88页
- 第89页
- 第90页
- 第91页
- 第92页
- 第93页
- 第94页
- 第95页
- 第96页
- 第97页
- 第98页
- 第99页
- 第100页
- 第101页
- 第102页
- 第103页
- 第104页
- 第105页
- 第106页
- 第107页
- 第108页
- 第109页
- 第110页
- 第111页
- 第112页
19. 已知关于x,y的方程组$\begin{cases}x + y = - 6 + m , ①\\x - y= 3m - 2 . ②\end{cases}$
(1)求方程组的解(用含m的式子表示);
(2)若方程组的解同时满足x为非正数,y为负数,求m的取值范围.
(1)求方程组的解(用含m的式子表示);
$\begin{cases}x = 2m - 4\\y=-m - 2\end{cases}$
(2)若方程组的解同时满足x为非正数,y为负数,求m的取值范围.
$-2\lt m\leqslant2$
答案:
(1)$\begin{cases}x = 2m - 4\\y=-m - 2\end{cases}$;
(2)$-2\lt m\leqslant2$
(1)$\begin{cases}x = 2m - 4\\y=-m - 2\end{cases}$;
(2)$-2\lt m\leqslant2$
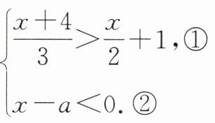
20. 已知关于x的不等式组
(1)当$a=3$时,解这个不等式组;
(2)若不等式组的解集是$x<1$,求a的值.
(1)当$a=3$时,解这个不等式组;
$x<2$
(2)若不等式组的解集是$x<1$,求a的值.
$a = 1$
答案:
(1)$x<2$;
(2)$a = 1$
(1)$x<2$;
(2)$a = 1$
查看更多完整答案,请扫码查看