2025年暑假Happy假日八年级化学通用版
注:目前有些书本章节名称可能整理的还不是很完善,但都是按照顺序排列的,请同学们按照顺序仔细查找。练习册 2025年暑假Happy假日八年级化学通用版 答案主要是用来给同学们做完题方便对答案用的,请勿直接抄袭。
第20页
- 第1页
- 第2页
- 第3页
- 第4页
- 第5页
- 第6页
- 第7页
- 第8页
- 第9页
- 第10页
- 第11页
- 第12页
- 第13页
- 第14页
- 第15页
- 第16页
- 第17页
- 第18页
- 第19页
- 第20页
- 第21页
- 第22页
- 第23页
- 第24页
- 第25页
- 第26页
- 第27页
- 第28页
- 第29页
- 第30页
- 第31页
- 第32页
- 第33页
- 第34页
- 第35页
- 第36页
- 第37页
- 第38页
- 第39页
- 第40页
- 第41页
- 第42页
- 第43页
- 第44页
- 第45页
- 第46页
- 第47页
- 第48页
- 第49页
- 第50页
- 第51页
- 第52页
- 第53页
- 第54页
- 第55页
- 第56页
- 第57页
- 第58页
- 第59页
- 第60页
- 第61页
- 第62页
- 第63页
- 第64页
- 第65页
- 第66页
- 第67页
- 第68页
- 第69页
- 第70页
- 第71页
- 第72页
- 第73页
- 第74页
- 第75页
- 第76页
- 第77页
- 第78页
- 第79页
- 第80页
- 第81页
- 第82页
- 第83页
- 第84页
- 第85页
- 第86页
- 第87页
- 第88页
- 第89页
- 第90页
- 第91页
- 第92页
- 第93页
- 第94页
- 第95页
- 第96页
- 第97页
- 第98页
- 第99页
- 第100页
- 第101页
- 第102页
- 第103页
- 第104页
- 第105页
- 第106页
- 第107页
- 第108页
- 第109页
- 第110页
- 第111页
- 第112页
7. 在反应$2A+3B\xlongequal{\;\;}C+2D$中,36g A与56g B恰好完全反应生成28g C和一定量的D,若C的相对分子质量为14,则C和D的相对分子质量之比为 (
A. 7:1 B. 7:8 C. 7:16 D. 7:32
B
)A. 7:1 B. 7:8 C. 7:16 D. 7:32
答案:
B
8. 在化学反应$2A+B_{2}\xlongequal{\;\;}2AB$中,A与$B_{2}$反应的质量关系如图所示。现将6g A和8g $B_{2}$充分反应,则生成AB的质量是 (

A. 9g B. 11g C. 12g D. 14g
C
)A. 9g B. 11g C. 12g D. 14g
答案:
C
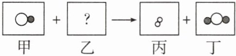
9. 已知
表示不同元素的原子。某反应的微观示意图如下,关于乙的构成说法合理的是 (

A. 含有○和● B. 含有o和●
C. 只含o D. 只含○
C
)A. 含有○和● B. 含有o和●
C. 只含o D. 只含○
答案:
C
10. 将一定质量的a、b、c、d四种物质放入一个密闭容器中,在一定条件下反应一段时间后,测得各物质的质量如下表:
下列有关说法正确的是 (
下列有关说法正确的是 (
C
)
答案:
C
11. 铜锈的主要成分是碱式碳酸铜,其受热分解的化学方程式为$Cu_{2}(OH)_{2}CO_{3}\xlongequal {△}2CuO+X+CO_{2}\uparrow$。下列说法正确的是 (
A. 反应前后固体物质中铜元素的质量分数不变
B. 碱式碳酸铜中铜元素和氧元素的质量比为2:5
C. X是相对分子质量最小的氧化物
D. 加热$Cu_{2}(OH)_{2}CO_{3}的实验装置和实验室用过氧化氢溶液制取O_{2}$的发生装置相同
C
)A. 反应前后固体物质中铜元素的质量分数不变
B. 碱式碳酸铜中铜元素和氧元素的质量比为2:5
C. X是相对分子质量最小的氧化物
D. 加热$Cu_{2}(OH)_{2}CO_{3}的实验装置和实验室用过氧化氢溶液制取O_{2}$的发生装置相同
答案:
C
查看更多完整答案,请扫码查看