2025年暑假Happy假日八年级化学人教版五四制
注:目前有些书本章节名称可能整理的还不是很完善,但都是按照顺序排列的,请同学们按照顺序仔细查找。练习册 2025年暑假Happy假日八年级化学人教版五四制 答案主要是用来给同学们做完题方便对答案用的,请勿直接抄袭。
第47页
- 第1页
- 第2页
- 第3页
- 第4页
- 第5页
- 第6页
- 第7页
- 第8页
- 第9页
- 第10页
- 第11页
- 第12页
- 第13页
- 第14页
- 第15页
- 第16页
- 第17页
- 第18页
- 第19页
- 第20页
- 第21页
- 第22页
- 第23页
- 第24页
- 第25页
- 第26页
- 第27页
- 第28页
- 第29页
- 第30页
- 第31页
- 第32页
- 第33页
- 第34页
- 第35页
- 第36页
- 第37页
- 第38页
- 第39页
- 第40页
- 第41页
- 第42页
- 第43页
- 第44页
- 第45页
- 第46页
- 第47页
- 第48页
- 第49页
- 第50页
- 第51页
- 第52页
- 第53页
- 第54页
- 第55页
- 第56页
- 第57页
- 第58页
- 第59页
- 第60页
- 第61页
- 第62页
- 第63页
- 第64页
- 第65页
- 第66页
- 第67页
- 第68页
- 第69页
- 第70页
- 第71页
- 第72页
- 第73页
- 第74页
- 第75页
- 第76页
- 第77页
- 第78页
- 第79页
- 第80页
- 第81页
- 第82页
- 第83页
- 第84页
- 第85页
- 第86页
- 第87页
- 第88页
- 第89页
- 第90页
- 第91页
- 第92页
- 第93页
- 第94页
- 第95页
- 第96页
- 第97页
- 第98页
- 第99页
- 第100页
- 第101页
- 第102页
- 第103页
- 第104页
- 第105页
- 第106页
- 第107页
- 第108页
- 第109页
- 第110页
- 第111页
- 第112页
13. 按下图进行实验,下列分析或结论正确的是 (

A. 导管口有气泡冒出可以说明反应已开始
B. 实验结束应立即倒出粉末
C. 木炭能将氧化铜还原为铜
D. 固体减少的质量一定等于生成二氧化碳的质量
C
)A. 导管口有气泡冒出可以说明反应已开始
B. 实验结束应立即倒出粉末
C. 木炭能将氧化铜还原为铜
D. 固体减少的质量一定等于生成二氧化碳的质量
答案:
C
14. 阅读材料,回答问题。
石墨、石墨烯、碳纳米管都是碳单质。1mm厚的石墨大约包含300万层石墨烯。石墨烯具有非同寻常的导电性,强度能超出钢铁数十倍,有极好的透光性。石墨烯将成为硅的替代品,用来生产超级计算机和新能源电池。

(1) 石墨烯可用于制作新能源电池,这是利用石墨烯的
(2) 石墨、石墨烯、碳纳米管的物理性质差异较大,原因是
(3) 下列说法正确的是(
A. 石墨烯与硅的性质完全相同
B. 石墨烯在常温下化学性质稳定
C. 1mm厚的石墨大约包含300万层石墨烯,说明碳原子很小
(4) 净水过程中,通常会利用活性炭的
石墨、石墨烯、碳纳米管都是碳单质。1mm厚的石墨大约包含300万层石墨烯。石墨烯具有非同寻常的导电性,强度能超出钢铁数十倍,有极好的透光性。石墨烯将成为硅的替代品,用来生产超级计算机和新能源电池。
(1) 石墨烯可用于制作新能源电池,这是利用石墨烯的
导电
性。(2) 石墨、石墨烯、碳纳米管的物理性质差异较大,原因是
碳原子的排列方式不同
。(3) 下列说法正确的是(
BC
)(填字母)。A. 石墨烯与硅的性质完全相同
B. 石墨烯在常温下化学性质稳定
C. 1mm厚的石墨大约包含300万层石墨烯,说明碳原子很小
(4) 净水过程中,通常会利用活性炭的
吸附
性去除色素和异味。
答案:
(1)导电
(2)碳原子的排列方式不同
(3)BC
(4)吸附
(1)导电
(2)碳原子的排列方式不同
(3)BC
(4)吸附
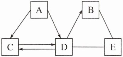
15. A、B、C、D、E均是初中化学中的常见物质,其中A、C是组成元素相同的两种无色液体,B、D为气体,E为黑色固体。它们有下图所示的转化关系,图中“——”表示相连的物质间能相互发生反应,“→”表示物质间有相应的转化关系。

(1) D的化学式为____
(2) $A \to C$的化学反应基本类型是____
(3) 写出反应$B - E$的化学方程式: ____
(1) D的化学式为____
$O_{2}$
____。(2) $A \to C$的化学反应基本类型是____
分解
____反应。(3) 写出反应$B - E$的化学方程式: ____
$CO_{2}+C\xlongequal{高温} 2CO$
____,写出反应$A \to D$的化学方程式: ____$2H_{2}O_{2}\xlongequal{MnO_{2}} 2H_{2}O + O_{2}\uparrow$
____。
答案:
(1) $O_{2}$
(2) 分解
(3) $CO_{2}+C\xlongequal{高温} 2CO$;$2H_{2}O_{2}\xlongequal{MnO_{2}} 2H_{2}O + O_{2}\uparrow$
(1) $O_{2}$
(2) 分解
(3) $CO_{2}+C\xlongequal{高温} 2CO$;$2H_{2}O_{2}\xlongequal{MnO_{2}} 2H_{2}O + O_{2}\uparrow$
查看更多完整答案,请扫码查看