2025年文涛书业假期作业快乐暑假八年级数学北师大版
注:目前有些书本章节名称可能整理的还不是很完善,但都是按照顺序排列的,请同学们按照顺序仔细查找。练习册 2025年文涛书业假期作业快乐暑假八年级数学北师大版 答案主要是用来给同学们做完题方便对答案用的,请勿直接抄袭。
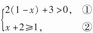
11. 解不等式组
并在数轴上表示不等式组的解集.
$ -1 \leq x < \frac{5}{2} $
图略
答案:
$ -1 \leq x < \frac{5}{2} $ 图略
12. 如图,在平行四边形ABCD中,$∠BCD$的平分线与 BA 的延长线相交于点 E,$BH⊥EC$于点 H,求证:$CH=EH$.

证明:∵ 在 $ □ ABCD $ 中,
∴ $ \angle E = \angle 2 $. ∵ $ CE $ 平分 $ \angle BCD $,
∴ $ \angle 1 = \angle 2 $,∴ $ \angle 1 = \angle E $,
∴
又 ∵ $ BH \perp EC $,∴ $ CH = EH $(
证明:∵ 在 $ □ ABCD $ 中,
$BE // CD$
,∴ $ \angle E = \angle 2 $. ∵ $ CE $ 平分 $ \angle BCD $,
∴ $ \angle 1 = \angle 2 $,∴ $ \angle 1 = \angle E $,
∴
$BE = BC$
.又 ∵ $ BH \perp EC $,∴ $ CH = EH $(
三线合一
).
答案:
证明:
∵ 在 $ \square ABCD $ 中,$ BE // CD $,
∴ $ \angle E = \angle 2 $.
∵ $ CE $ 平分 $ \angle BCD $,
∴ $ \angle 1 = \angle 2 $,
∴ $ \angle 1 = \angle E $,
∴ $ BE = BC $.
又
∵ $ BH \perp EC $,
∴ $ CH = EH $(三线合一).
∵ 在 $ \square ABCD $ 中,$ BE // CD $,
∴ $ \angle E = \angle 2 $.
∵ $ CE $ 平分 $ \angle BCD $,
∴ $ \angle 1 = \angle 2 $,
∴ $ \angle 1 = \angle E $,
∴ $ BE = BC $.
又
∵ $ BH \perp EC $,
∴ $ CH = EH $(三线合一).
13. 如图,$△A_{1}B_{1}C_{1}$是$△ABC$向右平移 4 个单位长度后得到的,且三个顶点的坐标分别为$A_{1}(1,1),B_{1}(4,2),C_{1}(3,4);$
(1) 请画出$△ABC$,并写出点 A、B、C 的坐标;A(
(2) 求出$△AOA_{1}$的面积.
(1) 请画出$△ABC$,并写出点 A、B、C 的坐标;A(
-3,1
),B(0,2
),C(-1,4
)(2) 求出$△AOA_{1}$的面积.
2
答案:
解:
(1) 图略,$ A(-3,1) $,$ B(0,2) $,$ C(-1,4) $.
(2) $ S_{\triangle AOA_1} = \frac{1}{2} \times 4 \times 1 = 2 $.
(1) 图略,$ A(-3,1) $,$ B(0,2) $,$ C(-1,4) $.
(2) $ S_{\triangle AOA_1} = \frac{1}{2} \times 4 \times 1 = 2 $.
查看更多完整答案,请扫码查看