第27页
- 第1页
- 第2页
- 第3页
- 第4页
- 第5页
- 第6页
- 第7页
- 第8页
- 第9页
- 第10页
- 第11页
- 第12页
- 第13页
- 第14页
- 第15页
- 第16页
- 第17页
- 第18页
- 第19页
- 第20页
- 第21页
- 第22页
- 第23页
- 第24页
- 第25页
- 第26页
- 第27页
- 第28页
- 第29页
- 第30页
- 第31页
- 第32页
- 第33页
- 第34页
- 第35页
- 第36页
- 第37页
- 第38页
- 第39页
- 第40页
- 第41页
- 第42页
- 第43页
- 第44页
- 第45页
- 第46页
- 第47页
- 第48页
- 第49页
- 第50页
- 第51页
- 第52页
- 第53页
- 第54页
- 第55页
- 第56页
- 第57页
- 第58页
- 第59页
- 第60页
- 第61页
- 第62页
- 第63页
- 第64页
- 第65页
- 第66页
- 第67页
- 第68页
- 第69页
- 第70页
- 第71页
- 第72页
- 第73页
- 第74页
- 第75页
- 第76页
- 第77页
- 第78页
- 第79页
- 第80页
- 第81页
- 第82页
- 第83页
- 第84页
- 第85页
- 第86页
- 第87页
- 第88页
- 第89页
- 第90页
- 第91页
- 第92页
11. 解方程组:
(1)$\left\{\begin{array}{l} x+y+z= 6,\\ 2x+y-z= 1,\\ y= x+1;\end{array} \right. $
(2)$\left\{\begin{array}{l} x+y+z= 4,\\ 2x-y+z= 3,\\ -x+2y-z= -1.\end{array} \right. $
(1)$\left\{\begin{array}{l} x+y+z= 6,\\ 2x+y-z= 1,\\ y= x+1;\end{array} \right. $
(2)$\left\{\begin{array}{l} x+y+z= 4,\\ 2x-y+z= 3,\\ -x+2y-z= -1.\end{array} \right. $
答案:
(1)$\left\{\begin{array}{l} x=1,\\ y=2,\\ z=3.\end{array}\right.$
(2)$\left\{\begin{array}{l} x=1,\\ y=1,\\ z=2.\end{array}\right.$
(1)$\left\{\begin{array}{l} x=1,\\ y=2,\\ z=3.\end{array}\right.$
(2)$\left\{\begin{array}{l} x=1,\\ y=1,\\ z=2.\end{array}\right.$
12. 若方程组$\left\{\begin{array}{l} 2x-y= 5,\\ 3x+4y= 2\end{array} \right. 的解也是方程10x-my= 7$的解. 求m的值.
答案:
$m=-13$.
13. (古典数学)我国古代数学著作《增删算法统宗》记载有一题:“今有布绢三十匹,共卖价钞五百七,四匹绢价九十贯,三匹布价该五十,欲问绢布各几何?”其大意为:今有绢与布共30匹,卖得570贯钱,4匹绢价90贯,3匹布价50贯,那么绢、布各有多少?
答案:
绢有 12 匹,布有 18 匹.
14. 【数学问题】解方程组
【思路分析】小明观察后发现可以把$x+y$视为一个整体,把方程①直接代入方程②中,这样,就可以将方程②直接转化为一元一次方程,从而达到“消元”的目的.
(1)请你按照小明的思路,完成解方程组的过程.
(2)请你按照小明的方法,解方程组$\left\{\begin{array}{l} a+b= 3,\\ 5a+3c= 1,\\ a+b+c= 0.\end{array} \right. $
【思路分析】小明观察后发现可以把$x+y$视为一个整体,把方程①直接代入方程②中,这样,就可以将方程②直接转化为一元一次方程,从而达到“消元”的目的.
(1)请你按照小明的思路,完成解方程组的过程.
(2)请你按照小明的方法,解方程组$\left\{\begin{array}{l} a+b= 3,\\ 5a+3c= 1,\\ a+b+c= 0.\end{array} \right. $
答案:
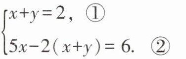
1. (1)解方程组$\begin{cases}x + y = 2&①\\5x-2(x + y)=6&②\end{cases}$
解:
把$x + y = 2$代入方程②得:
$5x-2×2 = 6$。
先计算$2×2$:$5x-4 = 6$。
移项得$5x=6 + 4$,即$5x=10$。
两边同时除以$5$:$x=\frac{10}{5}=2$。
把$x = 2$代入①得:$2 + y = 2$。
移项得$y=2 - 2$,所以$y = 0$。
所以方程组的解为$\begin{cases}x = 2\\y = 0\end{cases}$。
2. (2)解方程组$\begin{cases}a + b = 3&①\\5a+3c = 1&②\\a + b + c = 0&③\end{cases}$
解:
把$a + b = 3$代入方程③得:$3 + c = 0$。
移项得$c=-3$。
把$c = - 3$代入方程②得:$5a+3×(-3)=1$。
先计算$3×(-3)$:$5a-9 = 1$。
移项得$5a=1 + 9$,即$5a = 10$。
两边同时除以$5$:$a=\frac{10}{5}=2$。
把$a = 2$代入①得:$2 + b = 3$。
移项得$b=3 - 2$,所以$b = 1$。
所以方程组的解为$\begin{cases}a = 2\\b = 1\\c=-3\end{cases}$。
解:
把$x + y = 2$代入方程②得:
$5x-2×2 = 6$。
先计算$2×2$:$5x-4 = 6$。
移项得$5x=6 + 4$,即$5x=10$。
两边同时除以$5$:$x=\frac{10}{5}=2$。
把$x = 2$代入①得:$2 + y = 2$。
移项得$y=2 - 2$,所以$y = 0$。
所以方程组的解为$\begin{cases}x = 2\\y = 0\end{cases}$。
2. (2)解方程组$\begin{cases}a + b = 3&①\\5a+3c = 1&②\\a + b + c = 0&③\end{cases}$
解:
把$a + b = 3$代入方程③得:$3 + c = 0$。
移项得$c=-3$。
把$c = - 3$代入方程②得:$5a+3×(-3)=1$。
先计算$3×(-3)$:$5a-9 = 1$。
移项得$5a=1 + 9$,即$5a = 10$。
两边同时除以$5$:$a=\frac{10}{5}=2$。
把$a = 2$代入①得:$2 + b = 3$。
移项得$b=3 - 2$,所以$b = 1$。
所以方程组的解为$\begin{cases}a = 2\\b = 1\\c=-3\end{cases}$。
查看更多完整答案,请扫码查看