第19页
- 第1页
- 第2页
- 第3页
- 第4页
- 第5页
- 第6页
- 第7页
- 第8页
- 第9页
- 第10页
- 第11页
- 第12页
- 第13页
- 第14页
- 第15页
- 第16页
- 第17页
- 第18页
- 第19页
- 第20页
- 第21页
- 第22页
- 第23页
- 第24页
- 第25页
- 第26页
- 第27页
- 第28页
- 第29页
- 第30页
- 第31页
- 第32页
- 第33页
- 第34页
- 第35页
- 第36页
- 第37页
- 第38页
- 第39页
- 第40页
- 第41页
- 第42页
- 第43页
- 第44页
- 第45页
- 第46页
- 第47页
- 第48页
- 第49页
- 第50页
- 第51页
- 第52页
- 第53页
- 第54页
- 第55页
- 第56页
- 第57页
- 第58页
- 第59页
- 第60页
- 第61页
- 第62页
- 第63页
- 第64页
- 第65页
- 第66页
- 第67页
- 第68页
- 第69页
- 第70页
- 第71页
- 第72页
- 第73页
- 第74页
- 第75页
- 第76页
- 第77页
- 第78页
- 第79页
- 第80页
- 第81页
- 第82页
- 第83页
- 第84页
- 第85页
- 第86页
- 第87页
- 第88页
- 第89页
- 第90页
- 第91页
- 第92页
1. 下列方程中,是二元一次方程的是 ()
A.$ x + y = 6 $
B.$ x + 2y $
C.$ x ^ { 2 } + y = 3 $
D.$ x + \frac { 1 } { y } = 2 $
A.$ x + y = 6 $
B.$ x + 2y $
C.$ x ^ { 2 } + y = 3 $
D.$ x + \frac { 1 } { y } = 2 $
答案:
1. A
2. 下列方程组中,是二元一次方程组的是 ()
A.$ \left\{ \begin{array} { l } { x + y = 2, } \\ { x + z = 3 } \end{array} \right. $



A.$ \left\{ \begin{array} { l } { x + y = 2, } \\ { x + z = 3 } \end{array} \right. $
答案:
2. B
3. 方程组$ \left\{ \begin{array} { l } { 3 x - 2 y = 3 a, } \\ { x + 6 y = a - 8 } \end{array} \right. 的解 x $、$ y $的值互为相反数,则$ a $的值是 ()
A.$ - 2 $
B.$ 2 $
C.$ 0.5 $
D.$ - 0.5 $
A.$ - 2 $
B.$ 2 $
C.$ 0.5 $
D.$ - 0.5 $
答案:
3. B
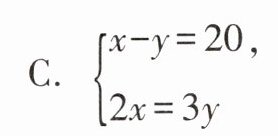
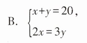
4. 如图,8块相同的小长方形地砖拼成一个大长方形,若其中每一个小长方形的长为$ x $,宽为$ y $,则依据题意可得二元一次方程组为 ()

A.$ \left\{ \begin{array} { l } { x + y = 20, } \\ { x = 3 y } \end{array} \right. $



A.$ \left\{ \begin{array} { l } { x + y = 20, } \\ { x = 3 y } \end{array} \right. $
答案:
4. A
5. 某工厂与$ A 地由公路 20 \mathrm { km } $、铁路$ 120 \mathrm { km } $相连,与$ B 地由公路 30 \mathrm { km } $、铁路$ 110 \mathrm { km } $相连. 这家工厂从$ A 地购买一批每吨 800 $元的原料运回工厂,制成每吨$ 2000 元的产品运到 B $地. 已知公路运价为$ 1.8 元 / ( \mathrm { t } \cdot \mathrm { km } ) $,铁路运价为
1. $ 5 元 / ( \mathrm { t } \cdot \mathrm { km } ) $,且这两次运输共支出公路运费$ 30600 $元,铁路运费$ 121500 $元,设购买$ x \mathrm { t } $原料,制成$ y \mathrm { t } $产品. 为求这批产品的销售款比原料费与运输费的和多多少元,可先根据题意列方程为 ()
A.$ \left\{ \begin{array} { l } { 1.8 × ( 800 x + 2000 y ) = 30600, } \\ { 1.5 × ( 800 x + 2000 y ) = 121500 } \end{array} \right. $

C.$ \left\{ \begin{array} { l } { 1.8 × ( 20 x + 30 y ) = 30600, } \\ { 1.5 × ( 120 x + 110 y ) = 121500 } \end{array} \right. $

1. $ 5 元 / ( \mathrm { t } \cdot \mathrm { km } ) $,且这两次运输共支出公路运费$ 30600 $元,铁路运费$ 121500 $元,设购买$ x \mathrm { t } $原料,制成$ y \mathrm { t } $产品. 为求这批产品的销售款比原料费与运输费的和多多少元,可先根据题意列方程为 ()
A.$ \left\{ \begin{array} { l } { 1.8 × ( 800 x + 2000 y ) = 30600, } \\ { 1.5 × ( 800 x + 2000 y ) = 121500 } \end{array} \right. $
C.$ \left\{ \begin{array} { l } { 1.8 × ( 20 x + 30 y ) = 30600, } \\ { 1.5 × ( 120 x + 110 y ) = 121500 } \end{array} \right. $
答案:
5. C
查看更多完整答案,请扫码查看