第77页
- 第1页
- 第2页
- 第3页
- 第4页
- 第5页
- 第6页
- 第7页
- 第8页
- 第9页
- 第10页
- 第11页
- 第12页
- 第13页
- 第14页
- 第15页
- 第16页
- 第17页
- 第18页
- 第19页
- 第20页
- 第21页
- 第22页
- 第23页
- 第24页
- 第25页
- 第26页
- 第27页
- 第28页
- 第29页
- 第30页
- 第31页
- 第32页
- 第33页
- 第34页
- 第35页
- 第36页
- 第37页
- 第38页
- 第39页
- 第40页
- 第41页
- 第42页
- 第43页
- 第44页
- 第45页
- 第46页
- 第47页
- 第48页
- 第49页
- 第50页
- 第51页
- 第52页
- 第53页
- 第54页
- 第55页
- 第56页
- 第57页
- 第58页
- 第59页
- 第60页
- 第61页
- 第62页
- 第63页
- 第64页
- 第65页
- 第66页
- 第67页
- 第68页
- 第69页
- 第70页
- 第71页
- 第72页
- 第73页
- 第74页
- 第75页
- 第76页
- 第77页
- 第78页
- 第79页
- 第80页
- 第81页
- 第82页
- 第83页
- 第84页
- 第85页
- 第86页
- 第87页
- 第88页
探究1 如图,在方格纸上,选择标有序号①②③④的一个小正方形涂黑,与图中阴影部分构成中心对称图形。该小正方形的序号是

②
。
答案:
②
探究2 如图,在△ABC中,AB= BC,将△ABC绕点B顺时针旋转α度,得到$△A_1BC_1,A_1B$交AC于点$E,A_1C_1$分别交AC,BC于点D,F,有下列结论:①∠CDF= α;$②A_1E= CF;$③DF= FC;④BE= BF。其中正确的有(
A.②③④
B.①③④
C.①②④
D.①②③
C
)A.②③④
B.①③④
C.①②④
D.①②③
答案:
C
探究3 如图,将一个钝角△ABC(∠ABC= 120°)绕点B顺时针旋转得到$△A_1BC_1,$使得点C落在AB的延长线上的点$C_1$处$,∠C_1= 20°,$连接$AA_1。$
(1)旋转角的度数是
$(2)∠A_1AC= $
(1)旋转角的度数是
60°
;$(2)∠A_1AC= $
20°
。
答案:
(1)$60^{\circ}$
(2)$20^{\circ}$
(1)$60^{\circ}$
(2)$20^{\circ}$
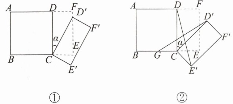
探究4 如图①,将边长为2的正方形ABCD和长为2、宽为1的长方形CEFD拼在一起,构成一个大的长方形ABEF。现将长方形CEFD绕点C顺时针旋转至CE'F'D',旋转角为α。
(1)当点D'恰好落在EF边上时,求旋转角α的值;
(2)如图②,点G为BC的中点,且α是锐角,求证:GD'= E'D;
(3)小长方形CEFD绕点C顺时针旋转一周的过程中,当旋转角α=

(1)当点D'恰好落在EF边上时,求旋转角α的值;
(2)如图②,点G为BC的中点,且α是锐角,求证:GD'= E'D;
(3)小长方形CEFD绕点C顺时针旋转一周的过程中,当旋转角α=
135°或315°
时,△DCD'与△BCD'全等。
答案:
(1)解:
∵长方形CEFD绕点C顺时针旋转至$CE'F'D'$,
$\therefore CD'=CD=2$.
在$Rt\triangle CED'$中,$CD'=2,CE=1$,
$\therefore \angle CD'E=30^{\circ}$.
$\because CD// EF$,
$\therefore \alpha =30^{\circ}$.
(2)证明:
∵G为BC的中点,
$\therefore CG=1$,
$\therefore CG=CE$.
∵长方形CEFD绕点C顺时针旋转至$CE'F'D'$,
$\therefore \angle D'CE'=\angle DCE=90^{\circ},CE=CE'$,
$\therefore \angle GCD'=\angle DCE'=90^{\circ}+\alpha,CG=CE'$.
在$\triangle GCD'$和$\triangle E'CD$中,
$\left\{\begin{array}{l} CD'=CD,\\ \angle GCD'=\angle DCE',\\ CG=CE',\end{array}\right.$
$\therefore \triangle GCD'\cong \triangle E'CD(SAS)$,
$\therefore GD'=E'D$.
(3)$135^{\circ}$或$315^{\circ}$
解析:
∵四边形ABCD为正方形,
∴$CB=CD$.
$\because CD=CD'$,
$\therefore \triangle BCD'$与$\triangle DCD'$为腰相等的两个等腰三角形.
当$\angle BCD'=\angle DCD'$时,$\triangle BCD'\cong \triangle DCD'$.
当$\triangle BCD'$与$\triangle DCD'$为钝角三角形时,
$\alpha =\frac {270^{\circ }}{2}=135^{\circ }$,
当$\triangle BCD'$与$\triangle DCD'$为锐角三角形时,
$\alpha =360^{\circ }-\frac {90^{\circ }}{2}=315^{\circ }$,
即旋转角α的值为$135^{\circ}$或$315^{\circ}$时,$\triangle BCD'$与$\triangle DCD'$全等.
(1)解:
∵长方形CEFD绕点C顺时针旋转至$CE'F'D'$,
$\therefore CD'=CD=2$.
在$Rt\triangle CED'$中,$CD'=2,CE=1$,
$\therefore \angle CD'E=30^{\circ}$.
$\because CD// EF$,
$\therefore \alpha =30^{\circ}$.
(2)证明:
∵G为BC的中点,
$\therefore CG=1$,
$\therefore CG=CE$.
∵长方形CEFD绕点C顺时针旋转至$CE'F'D'$,
$\therefore \angle D'CE'=\angle DCE=90^{\circ},CE=CE'$,
$\therefore \angle GCD'=\angle DCE'=90^{\circ}+\alpha,CG=CE'$.
在$\triangle GCD'$和$\triangle E'CD$中,
$\left\{\begin{array}{l} CD'=CD,\\ \angle GCD'=\angle DCE',\\ CG=CE',\end{array}\right.$
$\therefore \triangle GCD'\cong \triangle E'CD(SAS)$,
$\therefore GD'=E'D$.
(3)$135^{\circ}$或$315^{\circ}$
解析:
∵四边形ABCD为正方形,
∴$CB=CD$.
$\because CD=CD'$,
$\therefore \triangle BCD'$与$\triangle DCD'$为腰相等的两个等腰三角形.
当$\angle BCD'=\angle DCD'$时,$\triangle BCD'\cong \triangle DCD'$.
当$\triangle BCD'$与$\triangle DCD'$为钝角三角形时,
$\alpha =\frac {270^{\circ }}{2}=135^{\circ }$,
当$\triangle BCD'$与$\triangle DCD'$为锐角三角形时,
$\alpha =360^{\circ }-\frac {90^{\circ }}{2}=315^{\circ }$,
即旋转角α的值为$135^{\circ}$或$315^{\circ}$时,$\triangle BCD'$与$\triangle DCD'$全等.
查看更多完整答案,请扫码查看