2025年新课程暑假作业本七年级综合A版山西教育出版社
注:目前有些书本章节名称可能整理的还不是很完善,但都是按照顺序排列的,请同学们按照顺序仔细查找。练习册 2025年新课程暑假作业本七年级综合A版山西教育出版社 答案主要是用来给同学们做完题方便对答案用的,请勿直接抄袭。
第128页
- 第1页
- 第2页
- 第3页
- 第4页
- 第5页
- 第6页
- 第7页
- 第8页
- 第9页
- 第10页
- 第11页
- 第12页
- 第13页
- 第14页
- 第15页
- 第16页
- 第17页
- 第18页
- 第19页
- 第20页
- 第21页
- 第22页
- 第23页
- 第24页
- 第25页
- 第26页
- 第27页
- 第28页
- 第29页
- 第30页
- 第31页
- 第32页
- 第33页
- 第34页
- 第35页
- 第36页
- 第37页
- 第38页
- 第39页
- 第40页
- 第41页
- 第42页
- 第43页
- 第44页
- 第45页
- 第46页
- 第47页
- 第48页
- 第49页
- 第50页
- 第51页
- 第52页
- 第53页
- 第54页
- 第55页
- 第56页
- 第57页
- 第58页
- 第59页
- 第60页
- 第61页
- 第62页
- 第63页
- 第64页
- 第65页
- 第66页
- 第67页
- 第68页
- 第69页
- 第70页
- 第71页
- 第72页
- 第73页
- 第74页
- 第75页
- 第76页
- 第77页
- 第78页
- 第79页
- 第80页
- 第81页
- 第82页
- 第83页
- 第84页
- 第85页
- 第86页
- 第87页
- 第88页
- 第89页
- 第90页
- 第91页
- 第92页
- 第93页
- 第94页
- 第95页
- 第96页
- 第97页
- 第98页
- 第99页
- 第100页
- 第101页
- 第102页
- 第103页
- 第104页
- 第105页
- 第106页
- 第107页
- 第108页
- 第109页
- 第110页
- 第111页
- 第112页
- 第113页
- 第114页
- 第115页
- 第116页
- 第117页
- 第118页
- 第119页
- 第120页
- 第121页
- 第122页
- 第123页
- 第124页
- 第125页
- 第126页
- 第127页
- 第128页
- 第129页
- 第130页
- 第131页
- 第132页
- 第133页
- 第134页
- 第135页
- 第136页
- 第137页
- 第138页
- 第139页
- 第140页
- 第141页
- 第142页
- 第143页
- 第144页
实践一
实践名称 欧洲游学
实践资料一 暑假期间,王晋同学与家人一起去欧洲游学。在出发前,王晋通过阅读教科书相关内容和查阅课外资料,了解了欧洲西部不仅有著名的旅游胜地,还有世界著名的金融中心、商业城市和高等学府,是世界上经济高度发达的地区。下面是他在本次欧洲游学期间,所到之处拍摄的图片。

实践思考
1. 请你将国家与相应的旅游名胜图片连线。
实践资料二 王晋同学在游学期间,受邀到麦克同学家做客。他发现欧洲西部的居民餐桌上常见的食物包括奶制品、牛排、面包等,这种饮食习惯与当地的地理环境密切相关。
实践思考
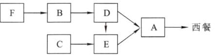
2. 请你将下列字母所代表的地理事物填入框图中,以表示正确的因果关系。
A. 乳畜业发达
B. 温带海洋性气候
C. 平原为主的地形
D. 适合多汁牧草的生长
E. 草场广布
F. 中纬度大陆西岸

实践资料三 王晋同学在博物馆参观学习中,进一步了解了欧洲西部是工业革命的发源地,目前也是世界上工业发达的地区之一。工业特点以制造业为主,本区工业中心多、分布密集。自英国到波兰境内,自斯堪的纳维亚半岛南部到意大利,形成了世界著名的“+”字形工业密集地带。
实践思考
3. 你知道欧洲西部经济发达的原因吗?完成下面结构图。

实践资料四 游学期间,麦克同学告诉王晋,过去在欧洲建筑保温材料还没有普遍应用的时代,从大西洋沿岸向东至俄罗斯,传统民居的墙壁厚度有一定的变化。下图示意传统民居墙壁厚度的变化。

实践思考
4. 读图,回答问题。
(1)英国南部至俄罗斯西部,传统民居墙壁的厚度逐渐____。
(2)导致这样变化的主要影响因素是____。
(3)请照此列举一例,反映某自然要素的地域差异与人类活动的关系。
实践名称 欧洲游学
实践资料一 暑假期间,王晋同学与家人一起去欧洲游学。在出发前,王晋通过阅读教科书相关内容和查阅课外资料,了解了欧洲西部不仅有著名的旅游胜地,还有世界著名的金融中心、商业城市和高等学府,是世界上经济高度发达的地区。下面是他在本次欧洲游学期间,所到之处拍摄的图片。
实践思考
1. 请你将国家与相应的旅游名胜图片连线。
实践资料二 王晋同学在游学期间,受邀到麦克同学家做客。他发现欧洲西部的居民餐桌上常见的食物包括奶制品、牛排、面包等,这种饮食习惯与当地的地理环境密切相关。
实践思考
2. 请你将下列字母所代表的地理事物填入框图中,以表示正确的因果关系。
A. 乳畜业发达
B. 温带海洋性气候
C. 平原为主的地形
D. 适合多汁牧草的生长
E. 草场广布
F. 中纬度大陆西岸
实践资料三 王晋同学在博物馆参观学习中,进一步了解了欧洲西部是工业革命的发源地,目前也是世界上工业发达的地区之一。工业特点以制造业为主,本区工业中心多、分布密集。自英国到波兰境内,自斯堪的纳维亚半岛南部到意大利,形成了世界著名的“+”字形工业密集地带。
实践思考
3. 你知道欧洲西部经济发达的原因吗?完成下面结构图。
实践资料四 游学期间,麦克同学告诉王晋,过去在欧洲建筑保温材料还没有普遍应用的时代,从大西洋沿岸向东至俄罗斯,传统民居的墙壁厚度有一定的变化。下图示意传统民居墙壁厚度的变化。
实践思考
4. 读图,回答问题。
(1)英国南部至俄罗斯西部,传统民居墙壁的厚度逐渐____。
(2)导致这样变化的主要影响因素是____。
(3)请照此列举一例,反映某自然要素的地域差异与人类活动的关系。
答案:
1. A−丹麦;B−英国;C−法国;D−西班牙;E−挪威;F−德国;G−意大利;H−瑞士。
2.
3.
4. (1)增厚
(2)气候
(3)略。
1. A−丹麦;B−英国;C−法国;D−西班牙;E−挪威;F−德国;G−意大利;H−瑞士。
2.
3.
4. (1)增厚
(2)气候
(3)略。
查看更多完整答案,请扫码查看