第131页
- 第1页
- 第2页
- 第3页
- 第4页
- 第5页
- 第6页
- 第7页
- 第8页
- 第9页
- 第10页
- 第11页
- 第12页
- 第13页
- 第14页
- 第15页
- 第16页
- 第17页
- 第18页
- 第19页
- 第20页
- 第21页
- 第22页
- 第23页
- 第24页
- 第25页
- 第26页
- 第27页
- 第28页
- 第29页
- 第30页
- 第31页
- 第32页
- 第33页
- 第34页
- 第35页
- 第36页
- 第37页
- 第38页
- 第39页
- 第40页
- 第41页
- 第42页
- 第43页
- 第44页
- 第45页
- 第46页
- 第47页
- 第48页
- 第49页
- 第50页
- 第51页
- 第52页
- 第53页
- 第54页
- 第55页
- 第56页
- 第57页
- 第58页
- 第59页
- 第60页
- 第61页
- 第62页
- 第63页
- 第64页
- 第65页
- 第66页
- 第67页
- 第68页
- 第69页
- 第70页
- 第71页
- 第72页
- 第73页
- 第74页
- 第75页
- 第76页
- 第77页
- 第78页
- 第79页
- 第80页
- 第81页
- 第82页
- 第83页
- 第84页
- 第85页
- 第86页
- 第87页
- 第88页
- 第89页
- 第90页
- 第91页
- 第92页
- 第93页
- 第94页
- 第95页
- 第96页
- 第97页
- 第98页
- 第99页
- 第100页
- 第101页
- 第102页
- 第103页
- 第104页
- 第105页
- 第106页
- 第107页
- 第108页
- 第109页
- 第110页
- 第111页
- 第112页
- 第113页
- 第114页
- 第115页
- 第116页
- 第117页
- 第118页
- 第119页
- 第120页
- 第121页
- 第122页
- 第123页
- 第124页
- 第125页
- 第126页
- 第127页
- 第128页
- 第129页
- 第130页
- 第131页
- 第132页
- 第133页
- 第134页
- 第135页
- 第136页
- 第137页
- 第138页
- 第139页
- 第140页
- 第141页
- 第142页
- 第143页
- 第144页
实践资料一 暑假期间,王晋同学与家人一起去欧洲游学。在出发前,王晋通过阅读教科书相关内容和查阅课外资料,了解了欧洲西部不仅有著名的旅游胜地,还有世界著名的金融中心、商业城市和高等学府,是世界上经济高度发达的地区。下面是他在本次欧洲游学期间,所到之处拍摄的图片。

实践思考
1. 请你将国家与相应的旅游名胜图片连线。
实践思考
1. 请你将国家与相应的旅游名胜图片连线。
A—丹麦;B—英国;C—法国;D—西班牙;E—挪威;F—德国;G—意大利;H—瑞士
答案:
1. A—丹麦;B—英国;C—法国;D—西班牙;E—挪威;F—德国;G—意大利;H—瑞士。
实践资料二 王晋同学在游学期间,受邀到麦克同学家做客。他发现欧洲西部的居民餐桌上常见的食物包括奶制品、牛排、面包等,这种饮食习惯与当地的地理环境密切相关。
实践思考
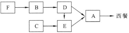
2. 请你将下列字母所代表的地理事物填入框图中,以表示正确的因果关系。
A. 乳畜业发达
B. 温带海洋性气候
C. 平原为主的地形
D. 适合多汁牧草的生长
E. 草场广布
F. 中纬度大陆西岸

实践思考
2. 请你将下列字母所代表的地理事物填入框图中,以表示正确的因果关系。
A. 乳畜业发达
B. 温带海洋性气候
C. 平原为主的地形
D. 适合多汁牧草的生长
E. 草场广布
F. 中纬度大陆西岸
答案:
2.
2.
查看更多完整答案,请扫码查看