第35页
- 第1页
- 第2页
- 第3页
- 第4页
- 第5页
- 第6页
- 第7页
- 第8页
- 第9页
- 第10页
- 第11页
- 第12页
- 第13页
- 第14页
- 第15页
- 第16页
- 第17页
- 第18页
- 第19页
- 第20页
- 第21页
- 第22页
- 第23页
- 第24页
- 第25页
- 第26页
- 第27页
- 第28页
- 第29页
- 第30页
- 第31页
- 第32页
- 第33页
- 第34页
- 第35页
- 第36页
- 第37页
- 第38页
- 第39页
- 第40页
- 第41页
- 第42页
- 第43页
- 第44页
- 第45页
- 第46页
- 第47页
- 第48页
- 第49页
- 第50页
- 第51页
- 第52页
- 第53页
- 第54页
- 第55页
- 第56页
- 第57页
- 第58页
- 第59页
- 第60页
- 第61页
- 第62页
- 第63页
- 第64页
- 第65页
- 第66页
- 第67页
- 第68页
7. 小绵是一个女生,她有一个弟弟小阳。不同来源的 X 染色体因含有的基因存在差异而有所不同,因此,他们父亲的性染色体组成可记作$ X_1Y,$母亲的性染色体组成可记作$X_2X_3。$那么,关于小绵和小阳体细胞内的 X 染色体,下列叙述正确的是()。
A. 小绵没有与父亲相同的 X 染色体
B. 小绵没有与母亲相同的 X 染色体
C. 小阳没有与父亲相同的 X 染色体
D. 小阳没有与母亲相同的 X 染色体
A. 小绵没有与父亲相同的 X 染色体
B. 小绵没有与母亲相同的 X 染色体
C. 小阳没有与父亲相同的 X 染色体
D. 小阳没有与母亲相同的 X 染色体
答案:
C
8. 有耳毛这种性状,由父亲传给儿子,儿子传给孙子,不能传给女儿或孙女,据此推测,控制该性状的基因最有可能在()。
A. 细胞质中
B. 性染色体上
C. X 染色体上
D. Y 染色体上
A. 细胞质中
B. 性染色体上
C. X 染色体上
D. Y 染色体上
答案:
D
9. 下列关于人类性别决定的叙述,正确的是()。
A. 人类性别主要由性染色体决定
B. 性染色体只存在于生殖细胞中
C. 理论上一对夫妇生男生女的概率是不同的
D. 生男生女取决于母亲卵细胞中性染色体的类型
A. 人类性别主要由性染色体决定
B. 性染色体只存在于生殖细胞中
C. 理论上一对夫妇生男生女的概率是不同的
D. 生男生女取决于母亲卵细胞中性染色体的类型
答案:
A
10. 某同学用 3 个红球、1 个白球、2 个纸袋进行“模拟人类后代性别决定的过程”活动。下列模拟操作或结论,错误的是()。
A. 2 个纸袋分别标“母亲”、“父亲”
B. 2 个红球放入标“母亲”的纸袋,1 个红球和 1 个白球放入标“父亲”的纸袋
C. 闭眼,从 2 个纸袋中各随机取 1 个小球,记录 2 个小球的组合类型
D. 抓取、记录小球组合类型 4 次,就可模拟出孩子的性别比例接近于 1:1
A. 2 个纸袋分别标“母亲”、“父亲”
B. 2 个红球放入标“母亲”的纸袋,1 个红球和 1 个白球放入标“父亲”的纸袋
C. 闭眼,从 2 个纸袋中各随机取 1 个小球,记录 2 个小球的组合类型
D. 抓取、记录小球组合类型 4 次,就可模拟出孩子的性别比例接近于 1:1
答案:
D
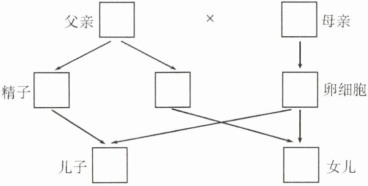
11. 填写下面性别决定的遗传图解,并据图解释生男生女机会均等的原因。

答案:
父亲:$XY$
母亲:$XX$
精子:$X$ 、$Y$
卵细胞:$X$
儿子:$XY$
女儿:$XX$
母亲:$XX$
精子:$X$ 、$Y$
卵细胞:$X$
儿子:$XY$
女儿:$XX$
查看更多完整答案,请扫码查看