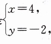
14. 解关于 $ x, y $ 的二元一次方程组 $ \left\{ \begin{array} { l } { a x + b y = 2, } \\ { c x - 7 y = 6 } \end{array} \right. $ 时, 一学生把 $ c $ 看错而得到
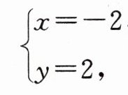
而正确的解是
则 $ a, b, c $ 的值分别是 ()
A.$ a = 2, b = 3, c = - 2 $
B.$ a = - 2, b = - 5, c = - 10 $
C.$ a, b $ 不能确定, $ c = - 2 $
D.$ a, b $ 不能确定, $ c = - 10 $
A.$ a = 2, b = 3, c = - 2 $
B.$ a = - 2, b = - 5, c = - 10 $
C.$ a, b $ 不能确定, $ c = - 2 $
D.$ a, b $ 不能确定, $ c = - 10 $
答案:
A
15. 随着“低碳生活, 绿色出行”理念的普及, 新能源汽车正逐渐成为人们喜爱的交通工具. 某汽车销售公司针对市场情况, 计划购进一批新能源汽车进行销售, 据了解, 2 辆 $ \mathrm { A } $ 型汽车和 3 辆 $ \mathrm { B } $ 型汽车的进价共计 120 万元; 3 辆 $ \mathrm { A } $ 型汽车和 4 辆 $ \mathrm { B } $ 型汽车的进价共计 170 万元.
(1) $ \mathrm { A }, \mathrm { B } $ 两种型号的汽车每辆进价分别为多少万元?
(2) 若该公司计划正好用 200 万元购进以上两种型号的新能源汽车 (两种型号的汽车均有购买), 请你写出所有购买方案.
(3) 若该公司销售 1 辆 $ \mathrm { A } $ 型汽车可获利 1.8 万元, 销售 1 辆 $ \mathrm { B } $ 型汽车可获利 1.1 万元, 在第 (2) 问中的所有购买方案中, 假如这些新能源汽车全部售出, 哪种方案获利最大? 最大利润是多少元?
(1) $ \mathrm { A }, \mathrm { B } $ 两种型号的汽车每辆进价分别为多少万元?
(2) 若该公司计划正好用 200 万元购进以上两种型号的新能源汽车 (两种型号的汽车均有购买), 请你写出所有购买方案.
(3) 若该公司销售 1 辆 $ \mathrm { A } $ 型汽车可获利 1.8 万元, 销售 1 辆 $ \mathrm { B } $ 型汽车可获利 1.1 万元, 在第 (2) 问中的所有购买方案中, 假如这些新能源汽车全部售出, 哪种方案获利最大? 最大利润是多少元?
答案:
解:
(1) 设 A,B 两种型号的汽车每辆进价分别为 $x$ 万元、$y$ 万元,
根据题意,得 $\begin{cases}2x + 3y = 120, \\3x + 4y = 170,\end{cases}$ 解得 $\begin{cases}x = 30, \\y = 20.\end{cases}$
答:A,B 两种型号的汽车每辆进价分别为 30 万元、20 万元。
(2) 设购进 A 型汽车 $m$ 辆,B 型汽车 $n$ 辆,则 $30m + 20n = 200$,
∴ $n = \frac{20 - 3m}{2}$。
∵ $m$,$n$ 均为正整数,
∴ $\begin{cases}m = 2, \\n = 7\end{cases}$ 或 $\begin{cases}m = 4, \\n = 4\end{cases}$ 或 $\begin{cases}m = 6, \\n = 1.\end{cases}$
∴共 3 种购买方案:
①购进 A 型汽车 2 辆,B 型汽车 7 辆;
②购进 A 型汽车 4 辆,B 型汽车 4 辆;
③购进 A 型汽车 6 辆,B 型汽车 1 辆。
(3) 3 种购买方案获得利润分别为 $1.8×2 + 1.1×7 = 11.3$(万元),$1.8×4 + 1.1×4 = 11.6$(万元),$1.8×6 + 1.1×1 = 11.9$(万元)。
∵ $11.3 < 11.6 < 11.9$,
∴购进 A 型车 6 辆、B 型车 1 辆获利最大,最大利润是 11.9 万元。
(1) 设 A,B 两种型号的汽车每辆进价分别为 $x$ 万元、$y$ 万元,
根据题意,得 $\begin{cases}2x + 3y = 120, \\3x + 4y = 170,\end{cases}$ 解得 $\begin{cases}x = 30, \\y = 20.\end{cases}$
答:A,B 两种型号的汽车每辆进价分别为 30 万元、20 万元。
(2) 设购进 A 型汽车 $m$ 辆,B 型汽车 $n$ 辆,则 $30m + 20n = 200$,
∴ $n = \frac{20 - 3m}{2}$。
∵ $m$,$n$ 均为正整数,
∴ $\begin{cases}m = 2, \\n = 7\end{cases}$ 或 $\begin{cases}m = 4, \\n = 4\end{cases}$ 或 $\begin{cases}m = 6, \\n = 1.\end{cases}$
∴共 3 种购买方案:
①购进 A 型汽车 2 辆,B 型汽车 7 辆;
②购进 A 型汽车 4 辆,B 型汽车 4 辆;
③购进 A 型汽车 6 辆,B 型汽车 1 辆。
(3) 3 种购买方案获得利润分别为 $1.8×2 + 1.1×7 = 11.3$(万元),$1.8×4 + 1.1×4 = 11.6$(万元),$1.8×6 + 1.1×1 = 11.9$(万元)。
∵ $11.3 < 11.6 < 11.9$,
∴购进 A 型车 6 辆、B 型车 1 辆获利最大,最大利润是 11.9 万元。
查看更多完整答案,请扫码查看