第41页
- 第1页
- 第2页
- 第3页
- 第4页
- 第5页
- 第6页
- 第7页
- 第8页
- 第9页
- 第10页
- 第11页
- 第12页
- 第13页
- 第14页
- 第15页
- 第16页
- 第17页
- 第18页
- 第19页
- 第20页
- 第21页
- 第22页
- 第23页
- 第24页
- 第25页
- 第26页
- 第27页
- 第28页
- 第29页
- 第30页
- 第31页
- 第32页
- 第33页
- 第34页
- 第35页
- 第36页
- 第37页
- 第38页
- 第39页
- 第40页
- 第41页
- 第42页
- 第43页
- 第44页
- 第45页
- 第46页
- 第47页
- 第48页
- 第49页
- 第50页
- 第51页
- 第52页
- 第53页
- 第54页
- 第55页
- 第56页
- 第57页
- 第58页
- 第59页
- 第60页
- 第61页
- 第62页
- 第63页
- 第64页
- 第65页
- 第66页
- 第67页
- 第68页
- 第69页
- 第70页
- 第71页
- 第72页
- 第73页
- 第74页
- 第75页
- 第76页
- 第77页
- 第78页
- 第79页
- 第80页
1. 每个人都要经历出生、成长、成熟、死亡等过程。一个新生命的开始是指()
A.受精卵形成
B.胎儿形成
C.婴儿出生
D.卵细胞成熟
A.受精卵形成
B.胎儿形成
C.婴儿出生
D.卵细胞成熟
答案:
A
2. 关于胎儿和母体的血管是否相通,王宇同学建立的假设是母亲和胎儿的血管是相通的。下列证据不能支持该假设的是()
A.胎儿所需的营养和氧来自母亲
B.母亲吃下的某些药物对胎儿有副作用
C.母亲的血型与胎儿的血型可能不相同
D.母亲吸烟、酗酒可能会造成胎儿智力障碍
A.胎儿所需的营养和氧来自母亲
B.母亲吃下的某些药物对胎儿有副作用
C.母亲的血型与胎儿的血型可能不相同
D.母亲吸烟、酗酒可能会造成胎儿智力障碍
答案:
C
3. 如图所示为女性生殖系统的部分结构示意图,下列说法正确的是()

A.产生卵细胞并分泌雌性激素的是②
B.因病摘除③后,女性的第二性征会消失
C.精子和卵细胞结合的场所是④
D.胚胎发育的主要场所是③
A.产生卵细胞并分泌雌性激素的是②
B.因病摘除③后,女性的第二性征会消失
C.精子和卵细胞结合的场所是④
D.胚胎发育的主要场所是③
答案:
D
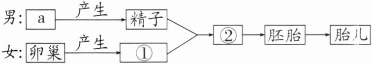
4. 下列是人的生殖和发育过程简图,相关叙述错误的是()
A.器官a是睾丸
B.形成②的场所是输卵管
C.①是卵细胞
D.新生命诞生的起点是胎儿形成
A.器官a是睾丸
B.形成②的场所是输卵管
C.①是卵细胞
D.新生命诞生的起点是胎儿形成
答案:
D
5. 人的一生需要经历多个过程,下列说法正的是()
A.少年期是人生长发育最迅速的时期
B.女性发育一般比男性晚两年
C.人的一生从婴儿开始
D.死亡的标志是人的心脏、大脑、肺停止活
A.少年期是人生长发育最迅速的时期
B.女性发育一般比男性晚两年
C.人的一生从婴儿开始
D.死亡的标志是人的心脏、大脑、肺停止活
答案:
D
6. 青春期是人的第二次快速生长时期,也是要不断学习,实现智力发展的黄金时期。列关于青春期的叙述,正确的是()
A.青春期开始形成第一性征
B.青春期是指神经系统开始发育到成熟阶段
C.不与异性交往保持身心健康
D.出现的第二特征与性激素有直接关系
A.青春期开始形成第一性征
B.青春期是指神经系统开始发育到成熟阶段
C.不与异性交往保持身心健康
D.出现的第二特征与性激素有直接关系
答案:
D
7. 如图表示某班学生的体重分布情况,以下说法中正确的是()

A.该班学生中体重最大值为69.5千克
B.该班学生的体重整体偏重
C.该班学生的总人数为40人
D.该班学生中体重范围在39.5~44.5千克人数最多
A.该班学生中体重最大值为69.5千克
B.该班学生的体重整体偏重
C.该班学生的总人数为40人
D.该班学生中体重范围在39.5~44.5千克人数最多
答案:
C
查看更多完整答案,请扫码查看