第98页
- 第1页
- 第2页
- 第3页
- 第4页
- 第5页
- 第6页
- 第7页
- 第8页
- 第9页
- 第10页
- 第11页
- 第12页
- 第13页
- 第14页
- 第15页
- 第16页
- 第17页
- 第18页
- 第19页
- 第20页
- 第21页
- 第22页
- 第23页
- 第24页
- 第25页
- 第26页
- 第27页
- 第28页
- 第29页
- 第30页
- 第31页
- 第32页
- 第33页
- 第34页
- 第35页
- 第36页
- 第37页
- 第38页
- 第39页
- 第40页
- 第41页
- 第42页
- 第43页
- 第44页
- 第45页
- 第46页
- 第47页
- 第48页
- 第49页
- 第50页
- 第51页
- 第52页
- 第53页
- 第54页
- 第55页
- 第56页
- 第57页
- 第58页
- 第59页
- 第60页
- 第61页
- 第62页
- 第63页
- 第64页
- 第65页
- 第66页
- 第67页
- 第68页
- 第69页
- 第70页
- 第71页
- 第72页
- 第73页
- 第74页
- 第75页
- 第76页
- 第77页
- 第78页
- 第79页
- 第80页
- 第81页
- 第82页
- 第83页
- 第84页
- 第85页
- 第86页
- 第87页
- 第88页
- 第89页
- 第90页
- 第91页
- 第92页
- 第93页
- 第94页
- 第95页
- 第96页
- 第97页
- 第98页
- 第99页
- 第100页
1. (2025·陕西一模)教室里装有多盏电灯,上晚自习时,我们每多开一盏电灯,教室电路的 ()
A. 总电阻增大
B. 总电阻减小
C. 总电压增大
D. 总电流不变
A. 总电阻增大
B. 总电阻减小
C. 总电压增大
D. 总电流不变
答案:
B
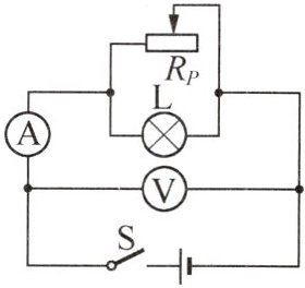
2. (2024·四川广元)小文设计并连接了如图所示的电路,电源两端电压和小灯泡的电阻都不变.闭合开关S,在保证电路安全的前提下,滑动变阻器的滑片从右向左滑动的过程中 ()

A. 变阻器接入电路的电阻变大,灯泡变暗
B. 电流表示数变大,电压表示数变小
C. 电压表与电流表示数的比值变小
D. 可以将滑动变阻器滑片滑到最左端
A. 变阻器接入电路的电阻变大,灯泡变暗
B. 电流表示数变大,电压表示数变小
C. 电压表与电流表示数的比值变小
D. 可以将滑动变阻器滑片滑到最左端
答案:
C 解析:由图可知,灯泡和滑动变阻器并联,电压表测电源电压,电流表测干路电流.滑动变阻器的滑片从右向左滑动的过程中,滑动变阻器接入电路的电阻变小,根据并联电路互不影响可知,通过灯泡的电流不变,则灯泡的亮度不变,故A错误;滑动变阻器接入电路的电阻变小,电源电压不变,则通过滑动变阻器的电流变大,根据并联电路的电流规律可知,干路电流变大,则电流表示数变大,电压表测电源电压,示数始终不变,则电压表与电流表示数的比值变小,故B错误、C正确;将滑动变阻器滑片滑到最左端时,灯泡会被短路,因此不能将滑动变阻器滑片滑到最左端,故D错误.
方法归纳
并联电路中各支路互不影响,某条支路中的电流变化不会影响其他支路中的电流,可利用此规律快速解答.
方法归纳
并联电路中各支路互不影响,某条支路中的电流变化不会影响其他支路中的电流,可利用此规律快速解答.
3. 已知灯泡L的额定电压为2.5V,通过灯丝的电流与其两端电压的关系如图所示,则灯泡正常发光时的电阻为______Ω.把此灯泡与15Ω的定值电阻并联在电源电压为1.5V的电路中,则并联电路的总电流为______A.

答案:
10 0.3
4. (2024·河北模拟)如图所示,先闭合开关$S_1,$电流表$A_1$和$A_2$的示数都是0.2A,再闭合开关$S_2,$电压表的示数为3V,电流表$A_1$的示数为0.5A.此时,电源的电压是______V,流过$L_1$的电流是______A,灯泡$L_2$的电阻是______Ω.

答案:
3 0.2 10 解析:由电路图知,闭合开关S₁时,电路为L₁的简单电路,两电流表都测通过L₁的电流,即I₁=0.2A;再闭合开关S₂时,两灯泡并联,A₁测干路电流,A₂测L₁支路电流,电压表测L₂两端电压,由并联电路的电压规律可知,电源电压U=U₂=3V;因为并联电路各支路互不影响,所以通过L₁的电流仍为0.2A,由并联电路的电流规律可得,通过L₂的电流I₂=I-I₁=0.5A-0.2A=0.3A,由I=$\frac{U}{R}$可得,灯泡L₂的电阻R=$\frac{U}{I₂}$=$\frac{3V}{0.3A}$=10Ω.
5. 如图,电源电压保持不变$,R_1$为定值电阻$,R_2$为电阻箱,当$R_2= 10Ω$时,电流表示数为0.5A;当$R_2= 30Ω$时,电流表示数为0.3A.求:
(1) 定值电阻$R_1$的阻值和电源电压U.
(2) 若电流表使用的量程为$0~0.6A,R_2$允许接入电路的最小阻值.

(1) 定值电阻$R_1$的阻值和电源电压U.
(2) 若电流表使用的量程为$0~0.6A,R_2$允许接入电路的最小阻值.
答案:
(1)15Ω 3V
(2)7.5Ω 解析:
(1)由图可知,闭合开关,R₁、R₂并联,电流表测干路电流.由并联电路的电流、电压规律及欧姆定律可得,干路的电流I=I₁+I₂=$\frac{U}{R₁}$+$\frac{U}{R₂}$,根据题意代入数据有$\frac{U}{R₁}$+$\frac{U}{10Ω}$=0.5A ①,$\frac{U}{R₁}$+$\frac{U}{30Ω}$=0.3A ②,联立①②,解得R₁=15Ω、U=3V.
(2)若电流表使用的量程为0~0.6A,则干路的最大电流为0.6A,通过R₂的最大电流I₂max=Imax-I₁=Imax-$\frac{U}{R₁}$=0.6A-$\frac{3V}{15Ω}$=0.4A,则R₂允许接入电路的最小阻值R₂min=$\frac{U}{I₂max}$=$\frac{3V}{0.4A}$=7.5Ω.
(1)15Ω 3V
(2)7.5Ω 解析:
(1)由图可知,闭合开关,R₁、R₂并联,电流表测干路电流.由并联电路的电流、电压规律及欧姆定律可得,干路的电流I=I₁+I₂=$\frac{U}{R₁}$+$\frac{U}{R₂}$,根据题意代入数据有$\frac{U}{R₁}$+$\frac{U}{10Ω}$=0.5A ①,$\frac{U}{R₁}$+$\frac{U}{30Ω}$=0.3A ②,联立①②,解得R₁=15Ω、U=3V.
(2)若电流表使用的量程为0~0.6A,则干路的最大电流为0.6A,通过R₂的最大电流I₂max=Imax-I₁=Imax-$\frac{U}{R₁}$=0.6A-$\frac{3V}{15Ω}$=0.4A,则R₂允许接入电路的最小阻值R₂min=$\frac{U}{I₂max}$=$\frac{3V}{0.4A}$=7.5Ω.
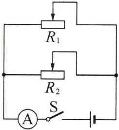
6. 如图所示电路,电源电压不变,两只规格相同的滑动变阻器$R_1$和$R_2$的滑片均位于中点处.闭合开关S,在保证电路安全的情况下,将$R_1$的滑片向左移,将$R_2$的滑片向右移,则电流表的示数 ()

A. 一定不变
B. 可能不变
C. 一定增大
D. 一定减小
A. 一定不变
B. 可能不变
C. 一定增大
D. 一定减小
答案:
B
7. (2025·江苏南京月考)如图所示的电路,电源电压恒定,开关S₀闭合.当开关S闭合,甲、乙两表为电压表时,甲、乙两表示数之比$U_1:U_2= 3:1;$当开关S断开,甲、乙两表为电流表时,甲、乙两表示数之比$I_1:I_2= ______,$此时电阻$R_1、$$R_2$的阻值之比为______.

答案:
2:3 2:1 解析:闭合S₀、S,甲、乙两表为电压表时,两电阻串联,甲测电源电压,乙测电阻R₂两端的电压,因为U甲:U乙=3:1,设甲电压表的示数U甲=3U,乙电压表的示数U乙=U,则R₁两端的电压U₁=U甲-U乙=3U-U=2U,R₂两端的电压U₂=U乙=U,所以此时R₁和R₂两端的电压之比U₁:U₂=2:1,串联电路各处电流相等,由R=$\frac{U}{I}$可知,R₁、R₂的阻值之比为2:1.闭合S₀、断开S,两电表为电流表时,两电阻并联,甲电流表测R₂的电流,I甲=I₂,乙电流表测干路电流,并联电路各支路两端电压相等,根据欧姆定律可得,通过R₁、R₂的电流之比$\frac{I₁}{I₂}$=$\frac{\frac{U}{R₁}}{\frac{U}{R₂}}$=$\frac{R₂}{R₁}$=$\frac{1}{2}$,所以I₁=$\frac{1}{2}$I₂,并联电路干路电流等于各支路电流之和,所以乙电流表的示数I乙=I₁+I₂=$\frac{1}{2}$I₂+I₂=$\frac{3}{2}$I₂,则甲、乙两电流表示数之比$\frac{I甲}{I乙}$=$\frac{I₂}{\frac{3}{2}I₂}$=$\frac{2}{3}$.
查看更多完整答案,请扫码查看