第91页
- 第1页
- 第2页
- 第3页
- 第4页
- 第5页
- 第6页
- 第7页
- 第8页
- 第9页
- 第10页
- 第11页
- 第12页
- 第13页
- 第14页
- 第15页
- 第16页
- 第17页
- 第18页
- 第19页
- 第20页
- 第21页
- 第22页
- 第23页
- 第24页
- 第25页
- 第26页
- 第27页
- 第28页
- 第29页
- 第30页
- 第31页
- 第32页
- 第33页
- 第34页
- 第35页
- 第36页
- 第37页
- 第38页
- 第39页
- 第40页
- 第41页
- 第42页
- 第43页
- 第44页
- 第45页
- 第46页
- 第47页
- 第48页
- 第49页
- 第50页
- 第51页
- 第52页
- 第53页
- 第54页
- 第55页
- 第56页
- 第57页
- 第58页
- 第59页
- 第60页
- 第61页
- 第62页
- 第63页
- 第64页
- 第65页
- 第66页
- 第67页
- 第68页
- 第69页
- 第70页
- 第71页
- 第72页
- 第73页
- 第74页
- 第75页
- 第76页
- 第77页
- 第78页
- 第79页
- 第80页
- 第81页
- 第82页
- 第83页
- 第84页
- 第85页
- 第86页
- 第87页
- 第88页
- 第89页
- 第90页
- 第91页
- 第92页
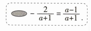
12.「2025河北衡水中学月考,★☆」如图,一个正确的运算过程被盖住了一部分,则被盖住的部分是(

A.$\frac {a+2}{a+1}$
B.a
C.$\frac {a}{a+1}$
D.1
D
)A.$\frac {a+2}{a+1}$
B.a
C.$\frac {a}{a+1}$
D.1
答案:
D 由题意得, 被盖住的部分是$\frac{a - 1}{a + 1}+\frac{2}{a + 1}=\frac{a - 1 + 2}{a + 1}=$
$\frac{a + 1}{a + 1}=1$. 故选 D.
$\frac{a + 1}{a + 1}=1$. 故选 D.
13.跨物理照相机成像「2022浙江杭州中考,★☆」照相机成像应用了一个重要原理,用公式$\frac {1}{f}= \frac {1}{u}+\frac {1}{v}(v≠f)$表示,其中f表示照相机镜头的焦距,u表示物体到镜头的距离,v表示胶片(像)到镜头的距离.已知f,v,则$u= $(
A.$\frac {fv}{f-v}$
B.$\frac {f-v}{fv}$
C.$\frac {fv}{v-f}$
D.$\frac {v-f}{fv}$
$\frac{fv}{v - f}$
)A.$\frac {fv}{f-v}$
B.$\frac {f-v}{fv}$
C.$\frac {fv}{v-f}$
D.$\frac {v-f}{fv}$
答案:
C $\because\frac{1}{f}=\frac{1}{u}+\frac{1}{v}(v\neq f),\therefore\frac{1}{u}=\frac{1}{f}-\frac{1}{v},\therefore\frac{1}{u}=\frac{v - f}{fv}$,
$\therefore u=\frac{fv}{v - f}$. 故选 C.
$\therefore u=\frac{fv}{v - f}$. 故选 C.
14.「2024青海西宁中考,★☆」计算$\frac {2a}{a^{2}-b^{2}}-\frac {1}{a+b}=$
$\frac{1}{a - b}$
.
答案:
答案 $\frac{1}{a - b}$
解析 原式$=\frac{2a}{a^{2}-b^{2}}-\frac{a - b}{a^{2}-b^{2}}=\frac{2a - a + b}{a^{2}-b^{2}}=\frac{1}{a - b}$. 故答案
为$\frac{1}{a - b}$.
解析 原式$=\frac{2a}{a^{2}-b^{2}}-\frac{a - b}{a^{2}-b^{2}}=\frac{2a - a + b}{a^{2}-b^{2}}=\frac{1}{a - b}$. 故答案
为$\frac{1}{a - b}$.
15.「2024山西太原十五中期末,★☆」如图,在数轴上,A,B两点分别表示$-\frac {2}{1+a},\frac {a^{2}}{a^{2}+a}$,若a表示正整数,则AB的长为

$\frac{a + 2}{a + 1}$
.
答案:
答案 $\frac{a + 2}{a + 1}$
解析 $AB=\frac{a^{2}}{a^{2}+a}-(-\frac{2}{1 + a})=\frac{a^{2}}{a(a + 1)}+\frac{2}{a + 1}=\frac{a}{a + 1}+$
$\frac{2}{a + 1}=\frac{a + 2}{a + 1}$.
解析 $AB=\frac{a^{2}}{a^{2}+a}-(-\frac{2}{1 + a})=\frac{a^{2}}{a(a + 1)}+\frac{2}{a + 1}=\frac{a}{a + 1}+$
$\frac{2}{a + 1}=\frac{a + 2}{a + 1}$.
16.「2025天津河西期末,★☆」已知$\frac {x+5}{(x+1)(x-3)}= \frac {A}{x+1}-\frac {B}{x-3}$,则$A=$
-1
,$B=$-2
.
答案:
答案 $-1;-2$
解析 $\because\frac{x + 5}{(x + 1)(x - 3)}=\frac{A}{x + 1}-\frac{B}{x - 3}=\frac{A(x - 3)-B(x + 1)}{(x + 1)(x - 3)}$,
$\therefore x + 5 = A(x - 3)-B(x + 1)=(A - B)x - 3A - B$,
$\therefore\begin{cases}A - B = 1,\\-3A - B = 5,\end{cases}$解得$\begin{cases}A = -1,\\B = -2.\end{cases}$
故答案为$-1;-2$.
解析 $\because\frac{x + 5}{(x + 1)(x - 3)}=\frac{A}{x + 1}-\frac{B}{x - 3}=\frac{A(x - 3)-B(x + 1)}{(x + 1)(x - 3)}$,
$\therefore x + 5 = A(x - 3)-B(x + 1)=(A - B)x - 3A - B$,
$\therefore\begin{cases}A - B = 1,\\-3A - B = 5,\end{cases}$解得$\begin{cases}A = -1,\\B = -2.\end{cases}$
故答案为$-1;-2$.
17.「2025浙江宁波期末,★☆」已知实数x,y,z满足$\frac {1}{x+y}+\frac {1}{y+z}+\frac {1}{z+x}= \frac {7}{6}$,且$\frac {z}{x+y}+\frac {x}{y+z}+\frac {y}{z+x}= 11$,则$x+y+z$的值为____
12
.
答案:
答案 12
解析 $\because\frac{z}{x + y}+\frac{x}{y + z}+\frac{y}{z + x}=11,\therefore1+\frac{z}{x + y}+1+\frac{x}{y + z}+1+$
$\frac{y}{z + x}=14,\therefore\frac{x + y + z}{x + y}+\frac{x + y + z}{y + z}+\frac{x + y + z}{z + x}=14$,
$\therefore(x + y + z)(\frac{1}{x + y}+\frac{1}{y + z}+\frac{1}{z + x})=14,\therefore\frac{1}{x + y}+\frac{1}{y + z}+\frac{1}{z + x}=$
$\frac{14}{x + y + z}.\because\frac{1}{x + y}+\frac{1}{y + z}+\frac{1}{z + x}=\frac{7}{6},\therefore\frac{14}{x + y + z}=\frac{7}{6},\therefore x + y +$
$z = 12$.
解析 $\because\frac{z}{x + y}+\frac{x}{y + z}+\frac{y}{z + x}=11,\therefore1+\frac{z}{x + y}+1+\frac{x}{y + z}+1+$
$\frac{y}{z + x}=14,\therefore\frac{x + y + z}{x + y}+\frac{x + y + z}{y + z}+\frac{x + y + z}{z + x}=14$,
$\therefore(x + y + z)(\frac{1}{x + y}+\frac{1}{y + z}+\frac{1}{z + x})=14,\therefore\frac{1}{x + y}+\frac{1}{y + z}+\frac{1}{z + x}=$
$\frac{14}{x + y + z}.\because\frac{1}{x + y}+\frac{1}{y + z}+\frac{1}{z + x}=\frac{7}{6},\therefore\frac{14}{x + y + z}=\frac{7}{6},\therefore x + y +$
$z = 12$.
18.「2024浙江嘉兴一中期末,★☆」先化简,再求值:$\frac {a^{2}-4a+4}{a^{2}-4}+\frac {4-a}{a+2}$,请从0、1、2三个数中选取一个合适的数代入求值.
答案:
解析 $\frac{a^{2}-4a + 4}{a^{2}-4}+\frac{4 - a}{a + 2}=\frac{(a - 2)^{2}}{(a + 2)(a - 2)}+\frac{4 - a}{a + 2}$
$=\frac{a - 2}{a + 2}+\frac{4 - a}{a + 2}=\frac{2}{a + 2}$.
$\because a^{2}-4\neq0,a + 2\neq0,\therefore a\neq\pm2,\therefore a$可取 0 或 1.
当$a = 0$时, 原式$=\frac{2}{0 + 2}=1$.
当$a = 1$时, 原式$=\frac{2}{1 + 2}=\frac{2}{3}$.
$=\frac{a - 2}{a + 2}+\frac{4 - a}{a + 2}=\frac{2}{a + 2}$.
$\because a^{2}-4\neq0,a + 2\neq0,\therefore a\neq\pm2,\therefore a$可取 0 或 1.
当$a = 0$时, 原式$=\frac{2}{0 + 2}=1$.
当$a = 1$时, 原式$=\frac{2}{1 + 2}=\frac{2}{3}$.
19.「2025江西九江质检,★☆」请阅读下面的计算过程,再回答所提出的问题.
$\frac {x-7}{x^{2}-1}-\frac {3}{1-x}= \frac {x-7}{(x+1)(x-1)}-\frac {3}{x-1}$……第1步
$=\frac {x-7}{(x+1)(x-1)}-\frac {3(x+1)}{(x-1)(x+1)}$……第2步
$=x-7-3(x+1)$……第3步
$=-2x-10$. ……第4步
(1)上述计算过程中,从哪一步开始出现错误?
(2)请你写出正确的解题过程.
$\frac {x-7}{x^{2}-1}-\frac {3}{1-x}= \frac {x-7}{(x+1)(x-1)}-\frac {3}{x-1}$……第1步
$=\frac {x-7}{(x+1)(x-1)}-\frac {3(x+1)}{(x-1)(x+1)}$……第2步
$=x-7-3(x+1)$……第3步
$=-2x-10$. ……第4步
(1)上述计算过程中,从哪一步开始出现错误?
第1步
(2)请你写出正确的解题过程.
$\frac{x - 7}{x^{2}-1}-\frac{3}{1 - x}=\frac{x - 7}{(x + 1)(x - 1)}+\frac{3}{x - 1}$
$=\frac{x - 7}{(x + 1)(x - 1)}+\frac{3(x + 1)}{(x + 1)(x - 1)}=\frac{x - 7 + 3x + 3}{(x + 1)(x - 1)}$
$=\frac{4x - 4}{(x + 1)(x - 1)}=\frac{4(x - 1)}{(x + 1)(x - 1)}=\frac{4}{x + 1}$
$=\frac{x - 7}{(x + 1)(x - 1)}+\frac{3(x + 1)}{(x + 1)(x - 1)}=\frac{x - 7 + 3x + 3}{(x + 1)(x - 1)}$
$=\frac{4x - 4}{(x + 1)(x - 1)}=\frac{4(x - 1)}{(x + 1)(x - 1)}=\frac{4}{x + 1}$
答案:
解析
(1)计算过程中, 从第 1 步开始出现错误.
(2)$\frac{x - 7}{x^{2}-1}-\frac{3}{1 - x}=\frac{x - 7}{(x + 1)(x - 1)}+\frac{3}{x - 1}$
$=\frac{x - 7}{(x + 1)(x - 1)}+\frac{3(x + 1)}{(x + 1)(x - 1)}=\frac{x - 7 + 3x + 3}{(x + 1)(x - 1)}$
$=\frac{4x - 4}{(x + 1)(x - 1)}=\frac{4(x - 1)}{(x + 1)(x - 1)}=\frac{4}{x + 1}$.
(1)计算过程中, 从第 1 步开始出现错误.
(2)$\frac{x - 7}{x^{2}-1}-\frac{3}{1 - x}=\frac{x - 7}{(x + 1)(x - 1)}+\frac{3}{x - 1}$
$=\frac{x - 7}{(x + 1)(x - 1)}+\frac{3(x + 1)}{(x + 1)(x - 1)}=\frac{x - 7 + 3x + 3}{(x + 1)(x - 1)}$
$=\frac{4x - 4}{(x + 1)(x - 1)}=\frac{4(x - 1)}{(x + 1)(x - 1)}=\frac{4}{x + 1}$.
20.新运算能力「2025北京昌平期中」已知$M= \frac {x+1}{2},N= \frac {x}{x+1}$.
(1)当$x>0$时,判断$M-N$与0的关系,并说明理由.
关系是:
(2)设$y= \frac {2+x}{M}-2N$.
①代入M,N,化简得y=
②若y是正整数,求整数x的值.整数x的值是
(1)当$x>0$时,判断$M-N$与0的关系,并说明理由.
关系是:
$M - N>0$
(2)设$y= \frac {2+x}{M}-2N$.
①代入M,N,化简得y=
$\frac{4}{x + 1}$
.②若y是正整数,求整数x的值.整数x的值是
0或1或3
.
答案:
解析
(1)当$x>0$时,$M - N>0$. 理由如下:
$\because M=\frac{x + 1}{2},N=\frac{x}{x + 1}$,
$\therefore M - N=\frac{x + 1}{2}-\frac{x}{x + 1}=\frac{(x + 1)^{2}-2x}{2(x + 1)}=\frac{x^{2}+1}{2(x + 1)}$.
$\because x>0,\therefore x^{2}+1>0,2(x + 1)>0$.
$\therefore\frac{x^{2}+1}{2(x + 1)}>0.\therefore M - N>0$.
(2)①依题意, 得$y=\frac{2 + x}{\frac{x + 1}{2}}-2\times\frac{x}{x + 1}=\frac{2(2 + x)}{x + 1}-\frac{2x}{x + 1}$
$=\frac{4}{x + 1}$.
②$\because y=\frac{4}{x + 1}$, 且$y>0,x,y$都是整数,
$\therefore y$可以取 1,2,3,4.
当$\frac{4}{x + 1}=1$时,$x + 1 = 4$, 解得$x = 3$, 符合;
当$\frac{4}{x + 1}=2$时,$x + 1 = 2$, 解得$x = 1$, 符合;
当$\frac{4}{x + 1}=3$时,$x + 1=\frac{4}{3}$, 解得$x=\frac{1}{3}$, 不符合, 舍去;
当$\frac{4}{x + 1}=4$时,$x + 1 = 1$, 解得$x = 0$, 符合.
综上所述, 当$y$为正整数时, 整数$x$的值是 0 或 1
或 3.
(1)当$x>0$时,$M - N>0$. 理由如下:
$\because M=\frac{x + 1}{2},N=\frac{x}{x + 1}$,
$\therefore M - N=\frac{x + 1}{2}-\frac{x}{x + 1}=\frac{(x + 1)^{2}-2x}{2(x + 1)}=\frac{x^{2}+1}{2(x + 1)}$.
$\because x>0,\therefore x^{2}+1>0,2(x + 1)>0$.
$\therefore\frac{x^{2}+1}{2(x + 1)}>0.\therefore M - N>0$.
(2)①依题意, 得$y=\frac{2 + x}{\frac{x + 1}{2}}-2\times\frac{x}{x + 1}=\frac{2(2 + x)}{x + 1}-\frac{2x}{x + 1}$
$=\frac{4}{x + 1}$.
②$\because y=\frac{4}{x + 1}$, 且$y>0,x,y$都是整数,
$\therefore y$可以取 1,2,3,4.
当$\frac{4}{x + 1}=1$时,$x + 1 = 4$, 解得$x = 3$, 符合;
当$\frac{4}{x + 1}=2$时,$x + 1 = 2$, 解得$x = 1$, 符合;
当$\frac{4}{x + 1}=3$时,$x + 1=\frac{4}{3}$, 解得$x=\frac{1}{3}$, 不符合, 舍去;
当$\frac{4}{x + 1}=4$时,$x + 1 = 1$, 解得$x = 0$, 符合.
综上所述, 当$y$为正整数时, 整数$x$的值是 0 或 1
或 3.
查看更多完整答案,请扫码查看