第94页
- 第1页
- 第2页
- 第3页
- 第4页
- 第5页
- 第6页
- 第7页
- 第8页
- 第9页
- 第10页
- 第11页
- 第12页
- 第13页
- 第14页
- 第15页
- 第16页
- 第17页
- 第18页
- 第19页
- 第20页
- 第21页
- 第22页
- 第23页
- 第24页
- 第25页
- 第26页
- 第27页
- 第28页
- 第29页
- 第30页
- 第31页
- 第32页
- 第33页
- 第34页
- 第35页
- 第36页
- 第37页
- 第38页
- 第39页
- 第40页
- 第41页
- 第42页
- 第43页
- 第44页
- 第45页
- 第46页
- 第47页
- 第48页
- 第49页
- 第50页
- 第51页
- 第52页
- 第53页
- 第54页
- 第55页
- 第56页
- 第57页
- 第58页
- 第59页
- 第60页
- 第61页
- 第62页
- 第63页
- 第64页
- 第65页
- 第66页
- 第67页
- 第68页
- 第69页
- 第70页
- 第71页
- 第72页
- 第73页
- 第74页
- 第75页
- 第76页
- 第77页
- 第78页
- 第79页
- 第80页
- 第81页
- 第82页
- 第83页
- 第84页
- 第85页
- 第86页
- 第87页
- 第88页
- 第89页
- 第90页
- 第91页
- 第92页
- 第93页
- 第94页
- 第95页
- 第96页
- 第97页
- 第98页
1.「2024 河南商丘梁园期末」下列各图中,直线的表示正确的是 (

B
)
答案:
B 可以用表示一条直线上两个点的两个大写字母表示这条直线,也可以用一个小写字母表示一条直线。
2.下面说法与如图所示的几何图形不相符的是 (

A.点 P 在直线 n 上
B.点 A 在直线 m 外
C.直线 OP 与直线 OB 是同一条直线
D.直线 OA 与直线 PB 都经过点 O
A
)A.点 P 在直线 n 上
B.点 A 在直线 m 外
C.直线 OP 与直线 OB 是同一条直线
D.直线 OA 与直线 PB 都经过点 O
答案:
A 点P在直线m上,不在直线n上,故A中说法不符合。故选A。
3.「2025 北京顺义期末」铺设地砖时,为了让砖缝对齐,通常会在铺设场地两端固定两点,然后拉一根笔直的参照线,这样操作的依据是
两点确定一条直线
.
答案:
答案 两点确定一条直线
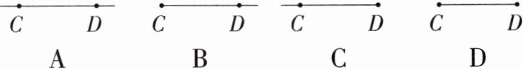
4.「2025 贵州期末」下列各图中,表示“射线 CD”的是 (

B
)
答案:
B “射线CD”的端点是C点,且从点C向点D延伸。故选B。
5.「2025 北京房山期末」如图,若射线 AB 上有一点 C,下列与射线 AB 是同一条射线的是 (

A.射线 BA
B.射线 AC
C.射线 BC
D.射线 CB
B
)A.射线 BA
B.射线 AC
C.射线 BC
D.射线 CB
答案:
B 与射线AB是同一条射线的是射线AC,故选B。方法技巧判断是不是同一条射线的方法:一看起点是不是同一个点,二看方向是否一致。
6.下列各图中,表示“线段 CD”的是 (

D
)
答案:
D 线段不能无限延伸,有两个端点。
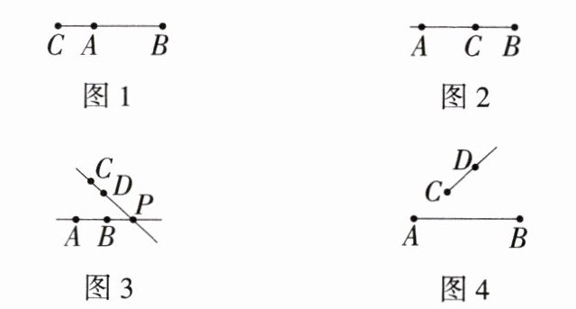
7.「2025 江苏泰州泰兴期中」图中以 C 为端点的线段有 (

A.1 条
B.2 条
C.3 条
D.4 条
C
)A.1 条
B.2 条
C.3 条
D.4 条
答案:
C 题图中以C为端点的线段有线段CA,线段CB,线段CD,共3条。故选C。
8.如图,已知平面上有四个点 A,B,C,D,按照下列语句画出图形.
(1)画线段 AB.
(2)画线段 BD,作线段 BD 的延长线.
(3)画线段 BC,并反向延长线段 BC.

(1)画线段 AB.
(2)画线段 BD,作线段 BD 的延长线.
(3)画线段 BC,并反向延长线段 BC.
答案:
解析
(1)
(2)
(3)如图所示。
解析
(1)
(2)
(3)如图所示。
9.「2025 福建厦门一中期末,」下列几何图形与相应语言描述相符的是 (

A.如图 1,延长线段 AB 到点 C
B.如图 2,点 B 在射线 CA 上
C.如图 3,直线 AB 的延长线与直线 CD 的延长线相交于点 P
D.如图 4,射线 CD 和线段 AB 没有交点
D
)A.如图 1,延长线段 AB 到点 C
B.如图 2,点 B 在射线 CA 上
C.如图 3,直线 AB 的延长线与直线 CD 的延长线相交于点 P
D.如图 4,射线 CD 和线段 AB 没有交点
答案:
D A.延长线段BA到点C,该选项不正确;B.点B在直线CA上,故该选项不正确;C.直线AB与直线CD相交于点P,故该选项不正确;D.射线CD和线段AB没有交点,故该选项正确。故选D。
查看更多完整答案,请扫码查看