2025年创新设计高考总复习数学浙江专版
注:目前有些书本章节名称可能整理的还不是很完善,但都是按照顺序排列的,请同学们按照顺序仔细查找。练习册 2025年创新设计高考总复习数学浙江专版 答案主要是用来给同学们做完题方便对答案用的,请勿直接抄袭。
第52页
- 第1页
- 第2页
- 第3页
- 第4页
- 第5页
- 第6页
- 第7页
- 第8页
- 第9页
- 第10页
- 第11页
- 第12页
- 第13页
- 第14页
- 第15页
- 第16页
- 第17页
- 第18页
- 第19页
- 第20页
- 第21页
- 第22页
- 第23页
- 第24页
- 第25页
- 第26页
- 第27页
- 第28页
- 第29页
- 第30页
- 第31页
- 第32页
- 第33页
- 第34页
- 第35页
- 第36页
- 第37页
- 第38页
- 第39页
- 第40页
- 第41页
- 第42页
- 第43页
- 第44页
- 第45页
- 第46页
- 第47页
- 第48页
- 第49页
- 第50页
- 第51页
- 第52页
- 第53页
- 第54页
- 第55页
- 第56页
- 第57页
- 第58页
- 第59页
- 第60页
- 第61页
- 第62页
- 第63页
- 第64页
- 第65页
- 第66页
- 第67页
- 第68页
- 第69页
- 第70页
- 第71页
- 第72页
- 第73页
- 第74页
- 第75页
- 第76页
- 第77页
- 第78页
- 第79页
- 第80页
- 第81页
- 第82页
- 第83页
- 第84页
- 第85页
- 第86页
- 第87页
- 第88页
- 第89页
- 第90页
- 第91页
- 第92页
- 第93页
- 第94页
- 第95页
- 第96页
- 第97页
- 第98页
- 第99页
- 第100页
- 第101页
- 第102页
- 第103页
- 第104页
- 第105页
- 第106页
- 第107页
- 第108页
- 第109页
- 第110页
- 第111页
- 第112页
- 第113页
- 第114页
- 第115页
- 第116页
- 第117页
- 第118页
- 第119页
- 第120页
- 第121页
- 第122页
- 第123页
- 第124页
- 第125页
- 第126页
- 第127页
- 第128页
- 第129页
- 第130页
- 第131页
- 第132页
- 第133页
- 第134页
- 第135页
- 第136页
- 第137页
- 第138页
- 第139页
- 第140页
- 第141页
- 第142页
- 第143页
- 第144页
- 第145页
- 第146页
- 第147页
- 第148页
- 第149页
- 第150页
- 第151页
- 第152页
- 第153页
- 第154页
- 第155页
- 第156页
- 第157页
- 第158页
- 第159页
- 第160页
- 第161页
- 第162页
- 第163页
- 第164页
- 第165页
- 第166页
- 第167页
- 第168页
- 第169页
- 第170页
- 第171页
- 第172页
- 第173页
- 第174页
- 第175页
- 第176页
- 第177页
- 第178页
- 第179页
- 第180页
- 第181页
- 第182页
- 第183页
- 第184页
- 第185页
- 第186页
- 第187页
- 第188页
- 第189页
- 第190页
- 第191页
- 第192页
- 第193页
- 第194页
- 第195页
- 第196页
- 第197页
- 第198页
- 第199页
- 第200页
- 第201页
- 第202页
- 第203页
- 第204页
- 第205页
- 第206页
- 第207页
- 第208页
- 第209页
- 第210页
- 第211页
- 第212页
- 第213页
- 第214页
- 第215页
- 第216页
- 第217页
- 第218页
- 第219页
- 第220页
- 第221页
- 第222页
- 第223页
- 第224页
1. 思考辨析 (在括号内打“√”或“×”)
(1) $ f'(x_0) $ 是函数 $ y = f(x) $ 在 $ x = x_0 $ 附近的瞬时变化率. (
(2) 函数 $ f(x) = \sin(-x) $ 的导数 $ f'(x) = \cos x $. (
(3) 求 $ f'(x_0) $ 时,可先求 $ f(x_0) $,再求 $ f'(x_0) $. (
(4) 与曲线只有一个公共点的直线一定是曲线的切线. (
(1) $ f'(x_0) $ 是函数 $ y = f(x) $ 在 $ x = x_0 $ 附近的瞬时变化率. (
√
)(2) 函数 $ f(x) = \sin(-x) $ 的导数 $ f'(x) = \cos x $. (
×
)(3) 求 $ f'(x_0) $ 时,可先求 $ f(x_0) $,再求 $ f'(x_0) $. (
×
)(4) 与曲线只有一个公共点的直线一定是曲线的切线. (
×
)
答案:
1.
(1)√
(2)×
(3)×
(4)× [(2)$f(x)=\sin(-x)=-\sin x$,则$f^{\prime}(x)=-\cos x$,错误.(3)求$f^{\prime}(x_{0})$时,应先求$f^{\prime}(x)$,再代入求值,错误.(4)函数$y = x^{2}$与$x = 0$这条直线只有一个公共点,但它们相交,错误.]
(1)√
(2)×
(3)×
(4)× [(2)$f(x)=\sin(-x)=-\sin x$,则$f^{\prime}(x)=-\cos x$,错误.(3)求$f^{\prime}(x_{0})$时,应先求$f^{\prime}(x)$,再代入求值,错误.(4)函数$y = x^{2}$与$x = 0$这条直线只有一个公共点,但它们相交,错误.]
2. (人教 B 选修三 P87 例 3 改编) (多选) 下列导数运算中正确的是 (
A.$ (\mathrm{e}^{5x - 1})' = 5\mathrm{e}^{5x - 1} $
B.$ (\ln(2x + 1))' = \frac{2}{2x + 1} $
C.$ (\sqrt{2x - 1})' = \frac{1}{\sqrt{2x - 1}} $
D.$ \left( \sin \left( 2x + \frac{\pi}{3} \right) \right)' = -2\cos \left( 2x + \frac{\pi}{3} \right) $
ABC
)A.$ (\mathrm{e}^{5x - 1})' = 5\mathrm{e}^{5x - 1} $
B.$ (\ln(2x + 1))' = \frac{2}{2x + 1} $
C.$ (\sqrt{2x - 1})' = \frac{1}{\sqrt{2x - 1}} $
D.$ \left( \sin \left( 2x + \frac{\pi}{3} \right) \right)' = -2\cos \left( 2x + \frac{\pi}{3} \right) $
答案:
2.ABC [选项D中,$\sin(2x+\frac{\pi}{3})=2\cos(2x+\frac{\pi}{3})$,错误.]
3. (人教 A 选修二 P81T6 改编) 已知函数 $ f(x) $ 满足 $ f(x) = f'\left( \frac{\pi}{4} \right) \cos x - \sin x $,则 $ f'\left( \frac{\pi}{4} \right) =$
$1 - \sqrt{2}$
$$ $_$.
答案:
3.$1 - \sqrt{2}$ [$f^{\prime}(\frac{\pi}{4})=-f^{\prime}(\frac{\pi}{4})\sin x - \cos x$,令$x = \frac{\pi}{4}$,得$f^{\prime}(\frac{\pi}{4})=-\frac{\sqrt{2}}{2}f^{\prime}(\frac{\pi}{4})-\frac{\sqrt{2}}{2}$解得$f^{\prime}(\frac{\pi}{4})=1 - \sqrt{2}$.]
4. (人教 A 选修二 P82T11 改编) 已知曲线 $ y = x\mathrm{e}^x $ 在点 $ (1, \mathrm{e}) $ 处的切线与曲线 $ y = a\ln x + 2 $ 在点 $ (1, 2) $ 处的切线平行,则 $ a =$
2e
$$ $_$.
答案:
4.2e [由$y = xe^{x}$,得$y^{\prime}=e^{x}(x + 1)$,所以该曲线在点$(1,e)$处的切线斜率为$2e$,由$y = a\ln x + 2$,得$y^{\prime}=\frac{a}{x}$,所以该曲线在点$(1,2)$处切线斜率为$a$.因为两切线平行,所以$a = 2e$.]
考点一 导数的概念
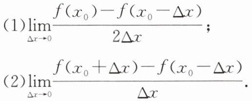
例 1 已知 $ f(x) $ 在 $ x_0$$$ 处的导数 $ f'(x_0) = k $,求下列各式的值:

(1) $ \lim_{\Delta x \to 0} \frac{f(x_0) - f(x_0 - \Delta x)}{2\Delta x} $;
(2) $ \lim_{\Delta x \to 0} \frac{f(x_0 + \Delta x) - f(x_0 - \Delta x)}{\Delta x} $.
例 1 已知 $ f(x) $ 在 $ x_0$$$ 处的导数 $ f'(x_0) = k $,求下列各式的值:
(1) $ \lim_{\Delta x \to 0} \frac{f(x_0) - f(x_0 - \Delta x)}{2\Delta x} $;
(2) $ \lim_{\Delta x \to 0} \frac{f(x_0 + \Delta x) - f(x_0 - \Delta x)}{\Delta x} $.
答案:
例1 解
(1)$\because\lim_{\Delta x \to 0}\frac{f(x_{0}) - f(x_{0} - \Delta x)}{x_{0} - (x_{0} - \Delta x)}=f^{\prime}(x_{0})$,即$\lim_{\Delta x \to 0}\frac{f(x_{0}) - f(x_{0} - \Delta x)}{\Delta x}=f^{\prime}(x_{0}) = k$,$\therefore\lim_{\Delta x \to 0}\frac{f(x_{0}) - f(x_{0} - \Delta x)}{2\Delta x}=\frac{k}{2}$.
(2)$\because\lim_{\Delta x \to 0}\frac{f(x_{0} + \Delta x) - f(x_{0} - \Delta x)}{2\Delta x}=k$,$\therefore\lim_{\Delta x \to 0}\frac{f(x_{0} + \Delta x) - f(x_{0} - \Delta x)}{\Delta x}=2k$.
(1)$\because\lim_{\Delta x \to 0}\frac{f(x_{0}) - f(x_{0} - \Delta x)}{x_{0} - (x_{0} - \Delta x)}=f^{\prime}(x_{0})$,即$\lim_{\Delta x \to 0}\frac{f(x_{0}) - f(x_{0} - \Delta x)}{\Delta x}=f^{\prime}(x_{0}) = k$,$\therefore\lim_{\Delta x \to 0}\frac{f(x_{0}) - f(x_{0} - \Delta x)}{2\Delta x}=\frac{k}{2}$.
(2)$\because\lim_{\Delta x \to 0}\frac{f(x_{0} + \Delta x) - f(x_{0} - \Delta x)}{2\Delta x}=k$,$\therefore\lim_{\Delta x \to 0}\frac{f(x_{0} + \Delta x) - f(x_{0} - \Delta x)}{\Delta x}=2k$.
(1) $ \lim_{h \to 0} \frac{\sin(x + 2h) - \sin x}{h} = $ (

A.0
B.$ 2\cos x $
C.$ \cos 2x $
D.$ 2\cos 2x $
B
)A.0
B.$ 2\cos x $
C.$ \cos 2x $
D.$ 2\cos 2x $
答案:
训练1
(1)B [
(1)$\lim_{h \to 0}\frac{\sin(x + 2h) - \sin x}{h}=2\lim_{h \to 0}\frac{\sin(x + 2h) - \sin x}{2h}=2(\sin x)^{\prime}=2\cos x$.]
(1)B [
(1)$\lim_{h \to 0}\frac{\sin(x + 2h) - \sin x}{h}=2\lim_{h \to 0}\frac{\sin(x + 2h) - \sin x}{2h}=2(\sin x)^{\prime}=2\cos x$.]
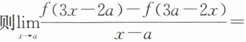
(2) 若 $ f'(x) $ 是函数 $ f(x) $ 的导数,且 $ f'(a) = -1 $,则 $ \lim_{x \to a} \frac{f(3x - 2a) - f(3a - 2x)}{x - a} = $ (

A.-5
B.-4
C.-1
D.0
A
)A.-5
B.-4
C.-1
D.0
答案:
训练1
(2)A [
(2)$\lim_{x \to a}\frac{f(3x - 2a) - f(3a - 2x)}{x - a}=5\lim_{x \to a}\frac{f(3x - 2a) - f(3a - 2x)}{(3x - 2a) - (3a - 2x)}=5f^{\prime}(a)= - 5$.]
(2)A [
(2)$\lim_{x \to a}\frac{f(3x - 2a) - f(3a - 2x)}{x - a}=5\lim_{x \to a}\frac{f(3x - 2a) - f(3a - 2x)}{(3x - 2a) - (3a - 2x)}=5f^{\prime}(a)= - 5$.]
查看更多完整答案,请扫码查看