2025年创新设计高考总复习数学浙江专版
注:目前有些书本章节名称可能整理的还不是很完善,但都是按照顺序排列的,请同学们按照顺序仔细查找。练习册 2025年创新设计高考总复习数学浙江专版 答案主要是用来给同学们做完题方便对答案用的,请勿直接抄袭。
第128页
- 第1页
- 第2页
- 第3页
- 第4页
- 第5页
- 第6页
- 第7页
- 第8页
- 第9页
- 第10页
- 第11页
- 第12页
- 第13页
- 第14页
- 第15页
- 第16页
- 第17页
- 第18页
- 第19页
- 第20页
- 第21页
- 第22页
- 第23页
- 第24页
- 第25页
- 第26页
- 第27页
- 第28页
- 第29页
- 第30页
- 第31页
- 第32页
- 第33页
- 第34页
- 第35页
- 第36页
- 第37页
- 第38页
- 第39页
- 第40页
- 第41页
- 第42页
- 第43页
- 第44页
- 第45页
- 第46页
- 第47页
- 第48页
- 第49页
- 第50页
- 第51页
- 第52页
- 第53页
- 第54页
- 第55页
- 第56页
- 第57页
- 第58页
- 第59页
- 第60页
- 第61页
- 第62页
- 第63页
- 第64页
- 第65页
- 第66页
- 第67页
- 第68页
- 第69页
- 第70页
- 第71页
- 第72页
- 第73页
- 第74页
- 第75页
- 第76页
- 第77页
- 第78页
- 第79页
- 第80页
- 第81页
- 第82页
- 第83页
- 第84页
- 第85页
- 第86页
- 第87页
- 第88页
- 第89页
- 第90页
- 第91页
- 第92页
- 第93页
- 第94页
- 第95页
- 第96页
- 第97页
- 第98页
- 第99页
- 第100页
- 第101页
- 第102页
- 第103页
- 第104页
- 第105页
- 第106页
- 第107页
- 第108页
- 第109页
- 第110页
- 第111页
- 第112页
- 第113页
- 第114页
- 第115页
- 第116页
- 第117页
- 第118页
- 第119页
- 第120页
- 第121页
- 第122页
- 第123页
- 第124页
- 第125页
- 第126页
- 第127页
- 第128页
- 第129页
- 第130页
- 第131页
- 第132页
- 第133页
- 第134页
- 第135页
- 第136页
- 第137页
- 第138页
- 第139页
- 第140页
- 第141页
- 第142页
- 第143页
- 第144页
- 第145页
- 第146页
- 第147页
- 第148页
- 第149页
- 第150页
- 第151页
- 第152页
- 第153页
- 第154页
- 第155页
- 第156页
- 第157页
- 第158页
- 第159页
- 第160页
- 第161页
- 第162页
- 第163页
- 第164页
- 第165页
- 第166页
- 第167页
- 第168页
- 第169页
- 第170页
- 第171页
- 第172页
- 第173页
- 第174页
- 第175页
- 第176页
- 第177页
- 第178页
- 第179页
- 第180页
- 第181页
- 第182页
- 第183页
- 第184页
- 第185页
- 第186页
- 第187页
- 第188页
- 第189页
- 第190页
- 第191页
- 第192页
- 第193页
- 第194页
- 第195页
- 第196页
- 第197页
- 第198页
- 第199页
- 第200页
- 第201页
- 第202页
- 第203页
- 第204页
- 第205页
- 第206页
- 第207页
- 第208页
- 第209页
- 第210页
- 第211页
- 第212页
- 第213页
- 第214页
- 第215页
- 第216页
- 第217页
- 第218页
- 第219页
- 第220页
- 第221页
- 第222页
- 第223页
- 第224页
1. 复数的有关概念
(1)定义:我们把集合
(2)分类

(3)复数相等:$a + bi = c + di\Leftrightarrow$
(4)共轭复数:$a + bi$与$c + di$共轭$\Leftrightarrow$
(5)模:向量$\overrightarrow{OZ}$的模叫做复数$z = a + bi$的模,记作
(1)定义:我们把集合
C
$=\{ a + bi|a,b∈R\}$中的数,即形如$a + bi(a,b∈R)$的数叫做复数,其中$a$叫做复数$z$的实部
,$b$叫做复数$z$的虚部
($i$为虚数单位).(2)分类
(3)复数相等:$a + bi = c + di\Leftrightarrow$
a=c且b=d
($a,b,c,d∈R$).(4)共轭复数:$a + bi$与$c + di$共轭$\Leftrightarrow$
a=c,b=-d
($a,b,c,d∈R$).(5)模:向量$\overrightarrow{OZ}$的模叫做复数$z = a + bi$的模,记作
|a+bi|
或|z|
,即$|z| = |a + bi| =$\sqrt{a^{2}+b^{2}}
($a,b∈R$).
答案:
1.
(1)C 实部 虚部
(2)b=0 b≠0 a=0且b≠0
(3)a=c且b=d
(4)a=c,b=−d
(5)|a+bi| |z|$ \sqrt{a^{2}+b^{2}}$
(1)C 实部 虚部
(2)b=0 b≠0 a=0且b≠0
(3)a=c且b=d
(4)a=c,b=−d
(5)|a+bi| |z|$ \sqrt{a^{2}+b^{2}}$
2. 复数的几何意义
复数$z = a + bi$与复平面内的点
复数$z = a + bi$与复平面内的点
Z(a,b)
及平面向量$\overrightarrow{OZ} = (a,b)(a,b∈R)$是一一对应关系.
答案:
2.Z(a,b)
3. 复数的运算
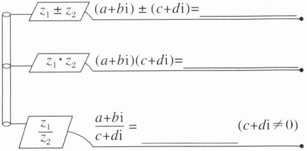
(1)运算法则:设$z_1 = a + bi,z_2 = c + di,a,b,c,d∈R$.
$\begin{aligned}z_1\pm z_2&:(a + bi)\pm(c + di)=\\z_1\cdot z_2&:(a + bi)(c + di)=\frac{z_1}{z_2}&:\frac{a + bi}{c + di}= (c + di\neq0)\end{aligned}$
(2)几何意义:复数加、减法可按向量的平行四边形或三角形法则进行.
如图给出的平行四边形$OZ_1ZZ_2$可以直观地反映出复数加、减法的几何意义,即$\overrightarrow{OZ} =$,$\overrightarrow{Z_1Z_2} =$.


(1)运算法则:设$z_1 = a + bi,z_2 = c + di,a,b,c,d∈R$.
$\begin{aligned}z_1\pm z_2&:(a + bi)\pm(c + di)=\\z_1\cdot z_2&:(a + bi)(c + di)=\frac{z_1}{z_2}&:\frac{a + bi}{c + di}= (c + di\neq0)\end{aligned}$
(2)几何意义:复数加、减法可按向量的平行四边形或三角形法则进行.
如图给出的平行四边形$OZ_1ZZ_2$可以直观地反映出复数加、减法的几何意义,即$\overrightarrow{OZ} =$,$\overrightarrow{Z_1Z_2} =$.
答案:
$3.(1)(a±c)+(b±d)i (ac−bd)+(bc+ad)i \frac{ac+bd}{c^{2}+d^{2}}+\frac{bc−ad}{c^{2}+d^{2}}i (2)\overrightarrow{OZ_{1}}+\overrightarrow{OZ_{2}} \overrightarrow{OZ_{2}}-\overrightarrow{OZ_{1}}$
1. 思考辨析(在括号内打“√”或“×”)
(1)复数$z = a + bi(a,b∈R)$中,虚部为$bi$. (
(2)复数中有相等复数的概念,因此复数可以比较大小. (
(3)原点是实轴与虚轴的交点. (
(4)复数的模实质上就是复平面内复数对应的点到原点的距离,也就是复数对应的向量的模. (
(1)复数$z = a + bi(a,b∈R)$中,虚部为$bi$. (
×
)(2)复数中有相等复数的概念,因此复数可以比较大小. (
×
)(3)原点是实轴与虚轴的交点. (
√
)(4)复数的模实质上就是复平面内复数对应的点到原点的距离,也就是复数对应的向量的模. (
√
)
答案:
1.
(1)×
(2)×
(3)√
(4)√ [
(1)虚部为b;
(2)虚数不可以比较大小.]
(1)×
(2)×
(3)√
(4)√ [
(1)虚部为b;
(2)虚数不可以比较大小.]
2. (人教 A 必修二 P69 例 1 改编)若复数$z = m + 1 + (m - 1)i$为纯虚数,则实数$m =$
-1
.
答案:
2.−1 [由题意知$\begin{cases}m + 1 = 0,\\m - 1≠0,\end{cases}$解得m=−1.]
3. (人教 A 必修二 P94T1(2)改编)复数$\frac{5}{i - 2}$的共轭复数是
-2+i
.
答案:
$3.−2+i [\frac{5}{i−2}=\frac{5(−2−i)}{(−2+i)(−2−i)}=−2−i,$
故其共轭复数是−2+i.]
故其共轭复数是−2+i.]
4. (北师大必修二 P183 例 5 改编)计算:$(-2 - i)\cdot(3 + i) =$
-5-5i
.
答案:
$4.−5−5i [(−2−i)(3+i)=−2×3−2×i−3×i−i^{2}=−6−2i−3i+1=−5−5i.]$
查看更多完整答案,请扫码查看